Laatste update :
31/03/2026
geneesmiddel tegen kanker   Cabazitaxel  
injecteerbaar geneesmiddel
Stabiliteit in oplossing Stabiliteit in mengsels Factoren die de stabiliteit beïnvloeden Verenigbaarheden Toedieningswijze Literatuur pdf
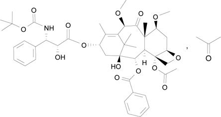
   Molecuulstructuur  

Merknamen in verschillende landen   Merknamen in verschillende landen     

Handelsnamen zijn slechts een indicatie; de samenstelling van hulpstoffen kan per land variëren afhankelijk van de fabrikant

Cabazil Argentinië
Cabazitaxel Denemarken, Duitsland, Finland, Spanje
Cecalter Argentinië
Jevtana Argentinië, Australië, België, Brazilië, Canada, Chili, Colombia, Denemarken, Duitsland, Ecuador, Finland, Frankrijk, Groot Britannië, IJsland, Italië, Maleisië, Mexico, Noorwegen, Peru, Roemenië, Slovenië, Spanje, Turkije, USA, Zwitserland
Proazitax Brazilië
Xatiza Chili
Zitat Argentinië
Verenigbaarheden   injecteerbaar geneesmiddel   Verenigbaarheden : Cabazitaxel              
In dit scherm worden de verenigbaarheden en onverenigbaarheden weergegeven. In het geval van een onverenigbaarheid wordt ook het type (neerslag, kleurverandering, modificatie van een emulsie, etc) weergegeven. De weergegeven verenigbaarheden zijn meestal alleen op uiterlijk beoordeeld, er heeft zelden een chemische beoordeling van iedere component plaatsgevonden. De verenigbaarheden betreffen gelijktijdige toediening aan de patient middels de Y-site. De data kan niet gebruikt worden in de beoordeling van verenigbaarheden van componenten in infuuszakken of spuiten. Die informatie is te vinden onder ‘stabiliteit in mengsels’.
Stof Oplosmiddel Literatuur

  Mentions Légales