fermer
最新更新 :
12/12/2025
Infostab
药品清单
简要表
搜索兼容性
Y 站点兼容性表
引用文献
研究小組
valistab
海报
鏈接
贊助商
作者
使用指南
时讯
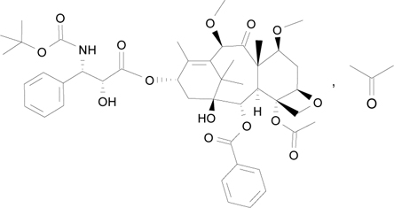
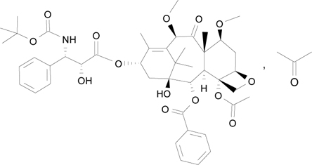
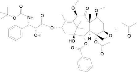
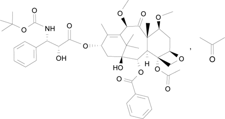
Cabazitaxel
化学式
商品名
商品名仅供参考, 药品所用的辅料可能依国家或厂商不同有所不同。
Cabazil
阿根廷
Cabazitaxel
丹麦, 德国, 芬兰, 西班牙
Cecalter
阿根廷
Jevtana
丹麦, 冰岛, 加拿大, 厄瓜多尔, 哥伦比亚, 土耳其, 墨西哥, 巴西, 德国, 意大利, 挪威, 斯洛文尼亚, 智利, 比利时, 法国, 澳大利亚, 瑞士, 秘鲁, 罗马尼亚, 美国, 芬兰, 英国, 西班牙, 阿根廷, 马来西亚
Proazitax
巴西
Xatiza
智利
Zitat
阿根廷
兼容性 : Cabazitaxel
This screen indicates the compatibilities or incompatibilities with, in this case, the type of incompatibility (precipitation, color change, modification of an emulsion, etc.). The compatibilities shown here are mostly physical only, with the chemical stability of each molecule rarely being assessed. The evaluation of these mixtures was studied to consider the possibility of Y-site administration to the patient. These data cannot be used for making mixtures in advance in bags or syringes. This type of information is available in the screen "Stability in mixture ».
Cabazitaxel
3237
Cabazitaxel
3237
Mentions Légales