Last update :
27/01/2026
Anticancer drug   Cabazitaxel  
injection
Stability in solutions Stability of mixtures Factors which affect stability Compatibility Route of administration References pdf
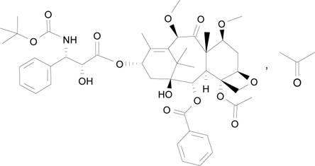
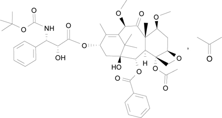
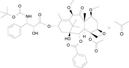
   Chemical structure  

Tradename   Tradename     

Trade names are indicative and excipients composition can be different depending on the country and manufacturers

Cabazil Argentina
Cabazitaxel Denmark, Finland, Germany, Spain
Cecalter Argentina
Jevtana Argentina, Australia, Belgium, Brazil, Canada, Chile, Colombia, Denmark, Ecuador, Finland, France, Germany, Great Britain, Iceland, Italy, Malaysia, Mexico, Norway, Peru, Romania, Slovenia, Spain, Switzerland, Turkey, United States of America
Proazitax Brazil
Xatiza Chile
Zitat Argentina
Compatibility   injection   Compatibility : Cabazitaxel              
This screen indicates the compatibilities or incompatibilities with, in this case, the type of incompatibility (precipitation, color change, modification of an emulsion, etc.). The compatibilities shown here are mostly physical only, with the chemical stability of each molecule rarely being assessed. The evaluation of these mixtures was studied to consider the possibility of Y-site administration to the patient. These data cannot be used for making mixtures in advance in bags or syringes. This type of information is available in the screen "Stability in mixture ».
Compound Solvent References

  Mentions Légales