Poslední aktualizace :
27/04/2026
Infostab
Seznamy
Seznamy shrnutí
Hledat kompatibility
Tabulka kompatibility správy Y
Odkazy
výzkumné týmy
valistab
plakát
Připojení
sponzoři
Autor
Uživatelská příručka
Newsletter
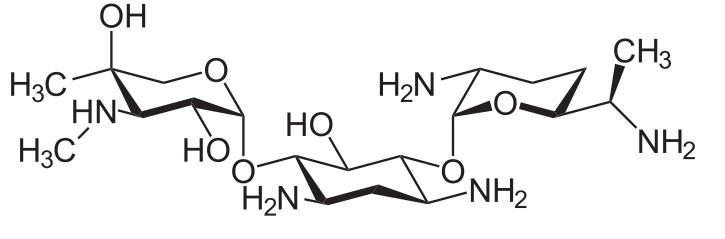
Gentamicin sulfate
Chemický vzorec
Odkazy : Gentamicin sulfate
typ
uveřejnění
2487
noviny
McBride HA, Martinez DR, Trang JM, Lander RD, Helms HA.
Stability of gentamicin sulfate and tobramycin sulfate in extemporaneously prepared ophthalmic solutions at 8 degrees C
Am J Hosp Pharm 1991 ; 48: 507-509.
2547
noviny
Ho PC, Soh H, Lim SM, Yow KL.
Stability of extemporaneously prepared gentamicin ophthalmic solutions.
Ann Pharmacotherapy 2001 ;35:1293-1294.
Mentions Légales