Последно актуализиране :
27/04/2026
Антибиотик   Gentamicin sulfate  
Капки за очи
Инжекция/Инжекционен
Стабилност на лекарствени препарати Стабилност на смеси Фактори, повлияващи стабилността Съвместимост Библиография Pdf
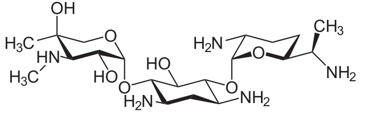
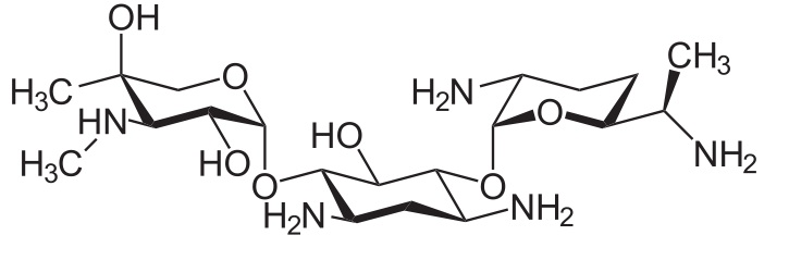
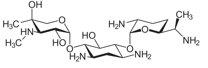
   Химична структура  

Капки за очи
Библиография   Капки за очи   Библиография : Gentamicin sulfate  
Вид Публикация
2487 Списание McBride HA, Martinez DR, Trang JM, Lander RD, Helms HA.
Stability of gentamicin sulfate and tobramycin sulfate in extemporaneously prepared ophthalmic solutions at 8 degrees C
Am J Hosp Pharm 1991 ; 48: 507-509.
2547 Списание Ho PC, Soh H, Lim SM, Yow KL.
Stability of extemporaneously prepared gentamicin ophthalmic solutions.
Ann Pharmacotherapy 2001 ;35:1293-1294.

  Mentions Légales