Posledná aktualizácia :
27/04/2026
antimykotikum   Amphotericin B  
Očná instilácia
Aerosól Injekcia Kloktadlo Perorálny roztok
Stabilita farmaceutických prípravkov Stabilita v zmesiach Faktory ovplyvňujúce stabilitu Kompatibility Odkazy na literatúru PDF
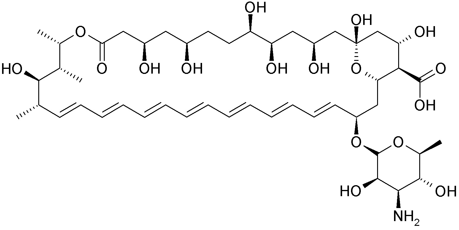
   Chemický vzorec  

Očná instilácia
Odkazy na literatúru   Očná instilácia   Odkazy na literatúru : Amphotericin B  
Typ Publikácia
2867 Časopis Peyron F, Elias R, Ibrahim E, Amirat-Combralier V, Bu?s-Charbit M, Balansard G.
Stability of Amphotericin B in 5% Dextrose Ophthalmic Solution.
Int J Pharm Compound 1999 ; 3, 4: 316-320.
3848 Diplomová práca Dermu Marine.
Etude de stabilité d'un collyre à l'amphotéricine B 0,5%.
Thèse de doctorat en pharmacie 2014
4487 Časopis Chennell P, Yessaad M, Abd El Kader F, Jouannet M, Wasiak M, Bouattour Y, Sautou V.
Do Ophthalmic Solutions of Amphotericin B Solubilised in 2-Hydroxypropyl- -Cyclodextrins Possess an Extended Physicochemical Stability?
Pharmaceutics 2020 ; 12, 786.

  Mentions Légales