Последно актуализиране :
27/04/2026
Противогъбично средство   Amphotericin B  
Капки за очи
Аерозол Инжекция/Инжекционен Орален разтвор Разтвор за уста
Стабилност на лекарствени препарати Стабилност на смеси Фактори, повлияващи стабилността Съвместимост Библиография Pdf
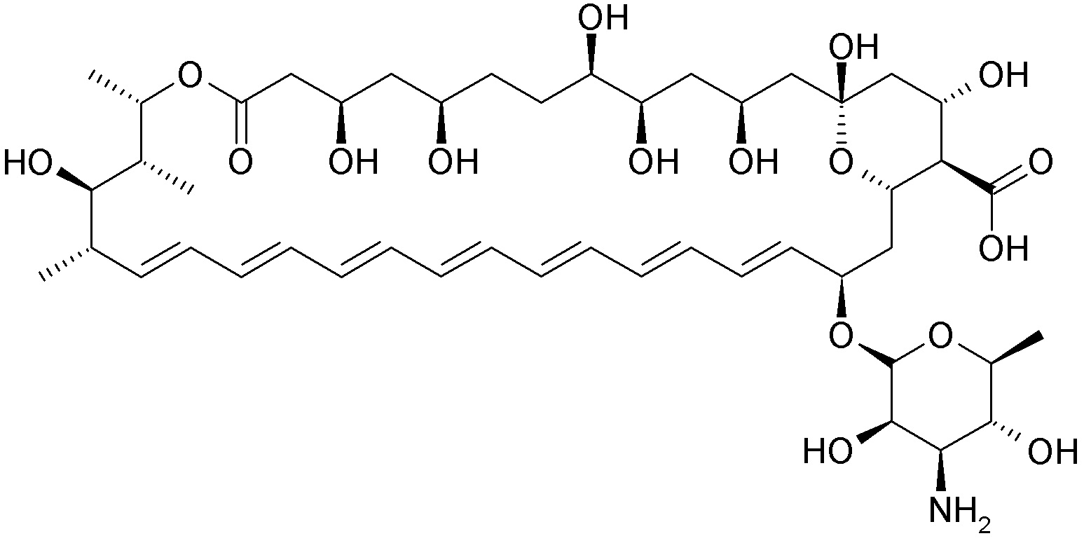
   Химична структура  

Капки за очи
Библиография   Капки за очи   Библиография : Amphotericin B  
Вид Публикация
2867 Списание Peyron F, Elias R, Ibrahim E, Amirat-Combralier V, Bu?s-Charbit M, Balansard G.
Stability of Amphotericin B in 5% Dextrose Ophthalmic Solution.
Int J Pharm Compound 1999 ; 3, 4: 316-320.
3848 Теза Dermu Marine.
Etude de stabilité d'un collyre à l'amphotéricine B 0,5%.
Thèse de doctorat en pharmacie 2014
4487 Списание Chennell P, Yessaad M, Abd El Kader F, Jouannet M, Wasiak M, Bouattour Y, Sautou V.
Do Ophthalmic Solutions of Amphotericin B Solubilised in 2-Hydroxypropyl- -Cyclodextrins Possess an Extended Physicochemical Stability?
Pharmaceutics 2020 ; 12, 786.

  Mentions Légales