Zadnji put ažurirano :
27/04/2026
antifungicid   Amphotericin B  
kapi za oko
aerosol injekcija oralna otopina  otopina za ispiranje usne šupljine
Stabilnost farmaceutskih pripravaka Stabilnost mješavine Stabilizacijski faktor Kompatibilnosti Bibliografija pdf
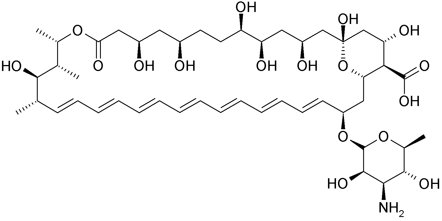
   Kemijska struktura  

kapi za oko
Bibliografija   kapi za oko   Bibliografija : Amphotericin B  
Vrsta Publikacija
2867 Časopis Peyron F, Elias R, Ibrahim E, Amirat-Combralier V, Bu?s-Charbit M, Balansard G.
Stability of Amphotericin B in 5% Dextrose Ophthalmic Solution.
Int J Pharm Compound 1999 ; 3, 4: 316-320.
3848 Teza Dermu Marine.
Etude de stabilité d'un collyre à l'amphotéricine B 0,5%.
Thèse de doctorat en pharmacie 2014
4487 Časopis Chennell P, Yessaad M, Abd El Kader F, Jouannet M, Wasiak M, Bouattour Y, Sautou V.
Do Ophthalmic Solutions of Amphotericin B Solubilised in 2-Hydroxypropyl- -Cyclodextrins Possess an Extended Physicochemical Stability?
Pharmaceutics 2020 ; 12, 786.

  Mentions Légales