Senaste uppdateringen :
27/04/2026
Antibiotikum   Colistin mesilate sodium  
Aerosol
injektion
Stabilitet av läkemedel Stabilitet i blandningar Faktorer som påverkar stabiliteten Kompatibilitet Hänvisningar pdf
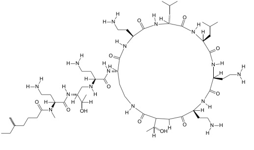
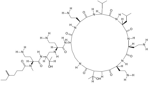
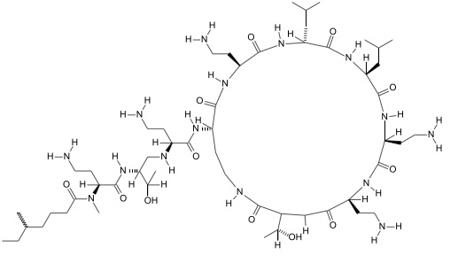
   Molekylstruktur  

Aerosol
Stabilitet av läkemedel   Aerosol   Stabilitet av läkemedel : Colistin mesilate sodium     
Behållare Origine Hjälpämne Temperatur Förvaring Stabilitets varaktighet Hänvisningar
Ej angiven injektionsflaska 80 mg
Colistin CF
Isoton koksaltlösning >> 3 mL
2-8°C Ej angiven
48 Timma
3334

Ej angiven injektionsflaska 80 mg
Colistin CF
NaCl 5,85 % >> 3 mL
2-8°C Ej angiven
48 Timma
3334


  Mentions Légales