Posledná aktualizácia :
21/01/2026
antibiotikum   Colistin mesilate sodium  
Aerosól
Injekcia
Stabilita farmaceutických prípravkov Stabilita v zmesiach Faktory ovplyvňujúce stabilitu Kompatibility Odkazy na literatúru PDF
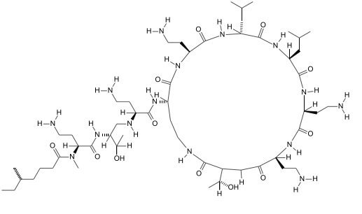
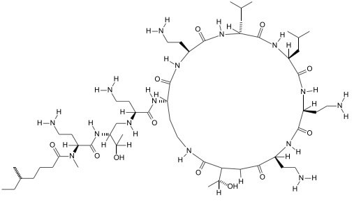
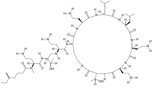
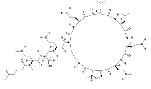
   Chemický vzorec  

Aerosól
Stabilita farmaceutických prípravkov   Aerosól   Stabilita farmaceutických prípravkov : Colistin mesilate sodium     
obal Pôvod Pomocná látka teplota uchovávanie Trvanie stability odkazy na lieteratúru
nešpecifikované Injekčná liekovka 80 mg
Colistin CF
NaCl 0.9% >> 3 mL
2-8°C nešpecifikované
48 hodín
3334

nešpecifikované Injekčná liekovka 80 mg
Colistin CF
NaCl 5,85 % >> 3 mL
2-8°C nešpecifikované
48 hodín
3334


  Mentions Légales