viimane versioon :
21/01/2026
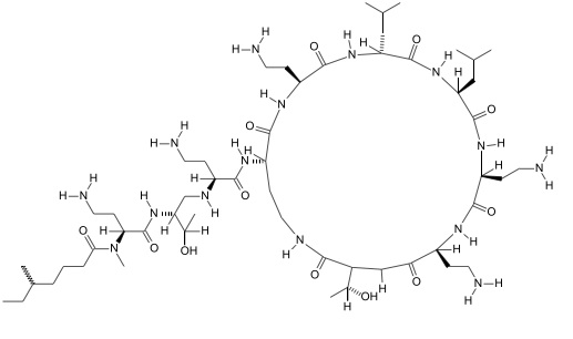
antibiootikum   Colistin mesilate sodium  
aerosool
Süsteravim
Stabiilsust ravimpreparaadid Stabiilsust mõjutavad tegurid stabiilsust mõjutavad faktorid Sobimatus Viited pdf
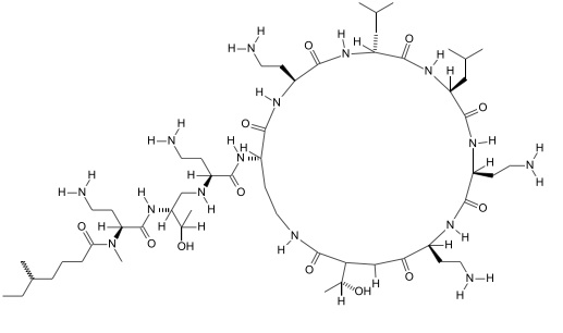
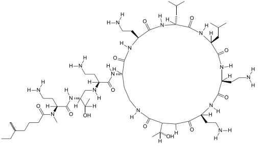
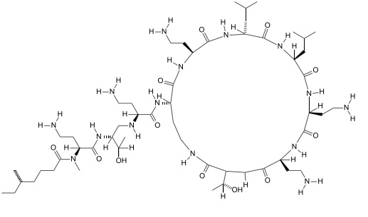
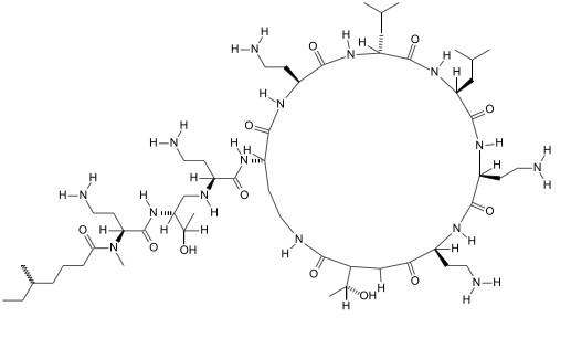
   keemiline struktuur  

aerosool
Stabiilsust ravimpreparaadid   aerosool   Stabiilsust ravimpreparaadid : Colistin mesilate sodium     
konteiner Origine  abiaine temperatuur ladustamine Stabiilsuse kestus Viited
pole täpsustatud Süsteravimi viaal 80 mg
Colistin CF
NaCl 0.9% >> 3 mL
2-8°C pole täpsustatud
48 Tund
3334

pole täpsustatud Süsteravimi viaal 80 mg
Colistin CF
NaCl 5,85 % >> 3 mL
2-8°C pole täpsustatud
48 Tund
3334


  Mentions Légales