Pēdējā atjaunošana :
27/04/2026
Antibiotika   Colistin mesilate sodium  
Aerosols
Injekcija
Stabilitāte farmaceitisko preparātu Maisījuma stabilitāte Stabilitāti ietekmējoši faktori Saderība Literatūras saraksts pdf
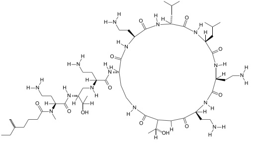
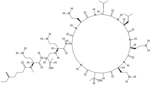
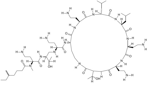
   Ķīmiskā uzbūve   

Aerosols
Stabilitāte farmaceitisko preparātu   Aerosols   Stabilitāte farmaceitisko preparātu : Colistin mesilate sodium     
Iepakojums Origine Palīgviela Temperatūra Glabāšana Stabilitātes ilgums Literatūras saraksts
Nespecifisks Medicīniskā pudele injekcijām 80 mg
Colistin CF
NaCl 0.9% >> 3 mL
2-8°C Nav specifisks
48 Stunda
3334

Nespecifisks Medicīniskā pudele injekcijām 80 mg
Colistin CF
NaCl 5,85 % >> 3 mL
2-8°C Nav specifisks
48 Stunda
3334


  Mentions Légales