Ostatnia aktualizacja :
21/01/2026
Antybiotyk   Colistin mesilate sodium  
Aerozol
Injekcje
Stabilność preparatów farmaceutycznych Trwałość w mieszaninie Czynnik wpływający na trwałość Zgodność Bibliografia pdf
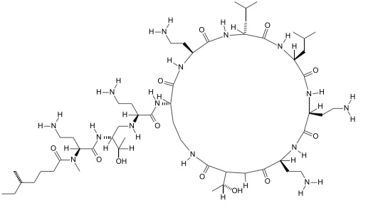
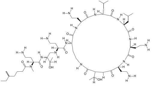
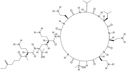
   Struktura chemiczna  

Aerozol
Stabilność preparatów farmaceutycznych   Aerozol   Stabilność preparatów farmaceutycznych : Colistin mesilate sodium     
Pojemnik Origine Substancja pomocniczna Temperatura Przechowywanie Czas trwania stabilności Bibliografia
Brak informacji Fiolka 80 mg
Colistin CF
NaCl 0.9% >> 3 mL
2-8°C Nie wyszczególniony
48 Godzina
3334

Brak informacji Fiolka 80 mg
Colistin CF
NaCl 5,85 % >> 3 mL
2-8°C Nie wyszczególniony
48 Godzina
3334


  Mentions Légales