Posledná aktualizácia :
27/04/2026
antidotum   Sugammadex  
Injekcia
Stabilita roztokov Stabilita v zmesiach Faktory ovplyvňujúce stabilitu Kompatibility spôsob podania Odkazy na literatúru PDF
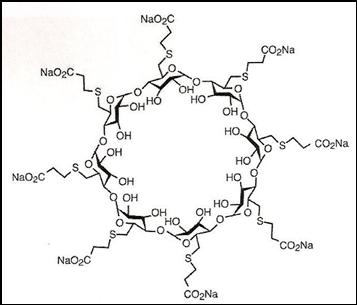
   Chemický vzorec  

Obchodný názov   Obchodný názov     

Obchodné názvy sú orientačné, a zloženie pomocných látok sa môže líšiť v závislosti od krajiny a výrobcu.

Bridion Argentína, Austrália, Belgicko, Brazília, Čile, Dánsko, Ekvádor, Francúzsko, Írsko, Island, Japonsko, Kolumbia, Luxembursko, Maďarsko, Malajzia, Mexiko, Nemecko, Nórsko, nový Zéland, peru, Portugalsko, Rumunsko, Španielsko, Švajčiarsko, Taliansko, Turecko, Veľká Británia
Desintunev Mexiko
Sagomyl Čile
Sugadion Čile
Sugamastar peru
Sugammadex Belgicko, Čile, Fínsko, Írsko, Maďarsko, Španielsko, Taliansko
Suvitali Mexiko
Stabilita roztokov   Injekcia   Stabilita roztokov : Sugammadex     
obal rozpúšťadlo koncentrácia teplota uchovávanie Trvanie stability odkazy na lieteratúru
nešpecifikované 0,9% chlorid sodný 10 mg/ml 2-8°C nešpecifikované
48 hodín
2328
Údaje o stabilite od výrobcu

nešpecifikované 0,9% chlorid sodný 10 mg/ml 25°C nešpecifikované
48 hodín
2328
Údaje o stabilite od výrobcu


  Mentions Légales