最新更新 :
27/04/2026
解毒药   Sugammadex  
注射液
溶液稳定性 混合物稳定性 影响稳定性的因素 兼容性 用药途径 引用文献 PDF
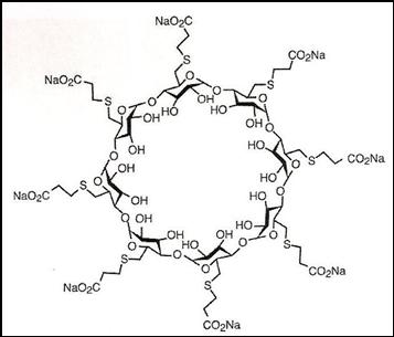
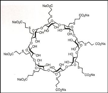
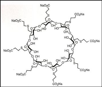
   化学式  

商品名   商品名     

商品名仅供参考, 药品所用的辅料可能依国家或厂商不同有所不同。

Bridion 丹麦, 冰岛, 匈牙利, 卢森堡, 厄瓜多尔, 哥伦比亚, 土耳其, 墨西哥, 巴西, 德国, 意大利, 挪威, 新西蘭, 日本, 智利, 比利时, 法国, 澳大利亚, 爱尔兰, 瑞士, 秘鲁, 罗马尼亚, 英国, 葡萄牙, 西班牙, 阿根廷, 马来西亚
Desintunev 墨西哥
Sagomyl 智利
Sugadion 智利
Sugamastar 秘鲁
Sugammadex 匈牙利, 意大利, 智利, 比利时, 爱尔兰, 芬兰, 西班牙
Suvitali 墨西哥
溶液稳定性   注射液   溶液稳定性 : Sugammadex     
容器 溶剂 浓度 温度 保存 穩定持續時間 引用文献
不详 NaCl 0,9% 10 mg/ml 2-8°C 无特殊要求
48 小时
2328
生产厂家提供的稳定性数据

不详 NaCl 0,9% 10 mg/ml 25°C 无特殊要求
48 小时
2328
生产厂家提供的稳定性数据


  Mentions Légales