Poslední aktualizace :
27/11/2025
Antidotas   Sugammadex  
Įpurškimas
Tirpalų stabilumas Mišinių stabilumas Stabilumą lemiantys veiksniai Suderinamumas Leidimo būdai Bibliografija pdf
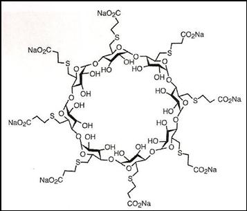
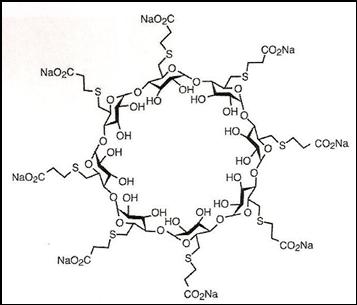
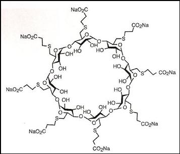
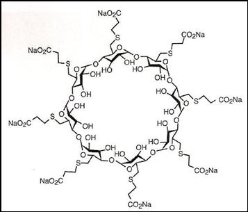
   Cheminė sandara  

Prekinis pavadinimas   Prekinis pavadinimas     

Trade names are indicative and excipients composition can be different depending on the country and manufacturers

Bridion Airija, Argentina, Australija, Belgija, Brazilija, Čilė, Danija, Didžioji Britanija, Ekvadoras, Islandija, Ispanija, Italija, Japonija, Kolumbija, Liuksemburgas, Malaizija, Meksikas, Naujojoje Zelandijoje, Norvegija, Peru, Portugalija, Prancūzija, Rumunija, Šveicarija, Turkija, Vengrija, Vokietija
Desintunev Meksikas
Sagomyl Čilė
Sugadion Čilė
Sugamastar Peru
Sugammadex Airija, Belgija, Čilė, Ispanija, Italija, Suomija, Vengrija
Suvitali Meksikas
Tirpalų stabilumas   Įpurškimas   Tirpalų stabilumas : Sugammadex     
Pakuotė Tirpiklis Koncentracija Temperatūra Laikymas Stabilumo trukmė Nuorodos
Nenurodyta Natrio chloridas 0,9% 10 mg/ml 2-8°C Nenurodyta
48 Valanda
2328
Gamintojo stabilumo duomenys

Nenurodyta Natrio chloridas 0,9% 10 mg/ml 25°C Nenurodyta
48 Valanda
2328
Gamintojo stabilumo duomenys


  Mentions Légales