Последнее обновление :
27/04/2026
Противоядие   Sugammadex  
Инъекция
Стабильность растворов Стабильность смесей Факторы, которые влияют на стабильность Совместимость Способы введения Библиография pdf
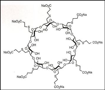
   Химическая структура  

Товарное название   Товарное название     

Trade names are indicative and excipients composition can be different depending on the country and manufacturers

Bridion Австралия, Аргентина, Бельгия, Бразилия, Великобритания, Венгрия, Германия, Дания, Ирландия, Исландия, Испания, Италия, Колумбия, Люксембург, Малайзия, Мексика, новая Зеландия, Норвегия, Перу, Португалия, Румыния, Турция, Франция, чили, Швейцария, Эквадор, Япония
Desintunev Мексика
Sagomyl чили
Sugadion чили
Sugamastar Перу
Sugammadex Бельгия, Венгрия, Ирландия, Испания, Италия, Финляндия, чили
Suvitali Мексика
Стабильность растворов   Инъекция   Стабильность растворов : Sugammadex     
Упаковка Растворитель Концентрация Температура Хранение Продолжительность стабильности Ссылки
Не указано Натрия хлорид 0,9% 10 mg/ml 2-8°C Не указано
48 Час
2328
Данные по стабльности от изготовителя

Не указано Натрия хлорид 0,9% 10 mg/ml 25°C Не указано
48 Час
2328
Данные по стабльности от изготовителя


  Mentions Légales