Última actualização :
25/03/2026
antídoto   Sugammadex  
injetável
Estabilidade em soluções simples Estabilidade em misturas Factores que afectam a sua estabilidade Compatibilidade Método de administração Bibliografía pdf
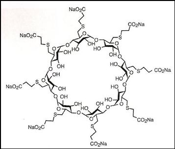
   estrutura química  

Nomes comerciais nos diversos países   Nomes comerciais nos diversos países     

OS NOMES COMERCIAIS SÃO INDICATIVOS E OS EXCIPIENTES DA FORMULAÇÃO PODEM SER DIFERENTES CONFORME O PAÍS E FABRICANTE.

Bridion Alemanha, Argentina, Australia, Bélgica, Brasil, Chilli, Colômbia, Dinamarca, Equator, Espanha, França, Gran-bretanha, Hungria, Irlanda, Islandia, Itália, Japón, Luxemburgo, Malásia, México, Noruega, nova Zelândia, Peru, Portugal, Romènia, Suicia, Turquia
Desintunev México
Sagomyl Chilli
Sugadion Chilli
Sugamastar Peru
Sugammadex Bélgica, Chilli, Espanha, Finlandia, Hungria, Irlanda, Itália
Suvitali México

Factores que afectam a sua estabilidade   injetável   Factores que afectam a sua estabilidade : Sugammadex        
Ausência de dados

  Mentions Légales