Seneste opdatering :
25/03/2026
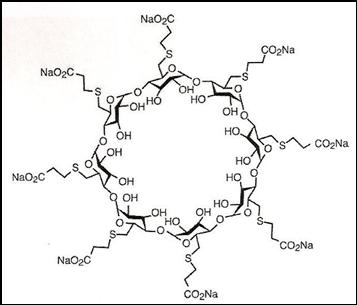
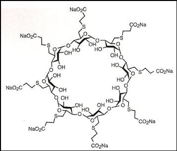
Antidot   Sugammadex  
Injektion
Stabilitet i (vandige) opløsninger Stabilitet i blandinger Faktorer der påvirker stabiliteten Kompatibilitet Administrationsvej Bibliografi pdf
   Kemisk struktur  

Handelsnavn   Handelsnavn     

Handel navne er vejledende og hjælpestoffer sammensætning kan være forskellig afhængigt af landet og laboratorier

Bridion Argentina, Australien, Belgien, Brasilien, Chile, Colombia, Danmark, Ecuador, Frankrig, Irland, Island, Italien, Japan, Luxemborg, Malaysia, Marokko, Mexico, New Zealand, Norge, Portugal, Rumænien, Schweiz, Spanien, Storbritanien, Tyrkiet, Tyskland, Ungarn
Desintunev Mexico
Sagomyl Chile
Sugadion Chile
Sugamastar Marokko
Sugammadex Belgien, Chile, Finland, Irland, Italien, Spanien, Ungarn
Suvitali Mexico

Faktorer der påvirker stabiliteten   Injektion   Faktorer der påvirker stabiliteten : Sugammadex        
Ingen data

  Mentions Légales