Ostatnia aktualizacja :
25/03/2026
Odtrutka   Sugammadex  
Injekcje
Trwałość roztworów Trwałość w mieszaninie Czynnik wpływający na trwałość Zgodność Sposób podania Bibliografia pdf
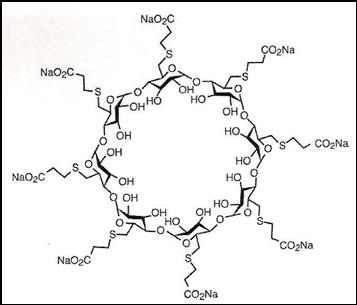
   Struktura chemiczna  

Nazwa handlowa   Nazwa handlowa     

Trade names are indicative and excipients composition can be different depending on the country and manufacturers

Bridion Argentyna, Australia, Belgia, Brazylia, Chile, Dania, Ekwador, Francja , Hiszpania, Irlandia, Islandia, Japonia, KolumbiaKolumbia, Luksemburg, Malezja, Meksyk, Niemcy, Norwegia, nowa Zelandia, Peru, Portugalia, Rumunia, Szwajcaria, Turcja, Węgry, Wielka Brytania, Włochy
Desintunev Meksyk
Sagomyl Chile
Sugadion Chile
Sugamastar Peru
Sugammadex Belgia, Chile, Finlandia, Hiszpania, Irlandia, Węgry, Włochy
Suvitali Meksyk

Czynnik wpływający na trwałość   Injekcje   Czynnik wpływający na trwałość : Sugammadex        
Brak danych

  Mentions Légales