Last update :
25/03/2026
Antidote   Sugammadex  
injection
Stability in solutions Stability of mixtures Factors which affect stability Compatibility Route of administration References pdf
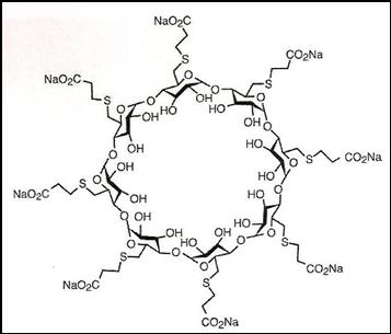
   Chemical structure  

Tradename   Tradename     

Trade names are indicative and excipients composition can be different depending on the country and manufacturers

Bridion Argentina, Australia, Belgium, Brazil, Chile, Colombia, Denmark, Ecuador, France, Germany, Great Britain, Hungary, Iceland, Ireland, Italy, Japan, Luxembourg, Malaysia, Mexico, New Zealand, Norway, Peru, Portugal, Romania, Spain, Switzerland, Turkey
Desintunev Mexico
Sagomyl Chile
Sugadion Chile
Sugamastar Peru
Sugammadex Belgium, Chile, Finland, Hungary, Ireland, Italy, Spain
Suvitali Mexico

Factors which affect stability   injection   Factors which affect stability : Sugammadex        
No data

  Mentions Légales