Son güncelleme :
27/04/2026
kanser ilaç   Azacitidine  
Enjeksiyon
Çözeltilerin stabilitesi Karışımlardaki stabilitesi Stabiliteyi etkileyen faktörler Uyumluluk Uygulama yöntemi Kaynaklar pdf
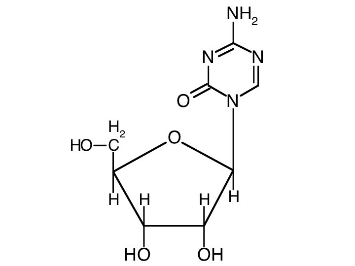
   Kimyasal yapı   

Ticari isim   Ticari isim     

Trade names are indicative and excipients composition can be different depending on the country and manufacturers

Amilix Arjantin
Arquimes Arjantin
Azacimyl Şili
Azacitidina Arjantin, Peru, Şili
Azacitidine Almanya, Amerika Birleşik Devletleri
Azacor Peru
Azadin Türkiye
Azamex Arjantin
Azanova Arjantin
Azateva Arjantin
Azida Türkiye
Azitech Arjantin
Citofin Arjantin
Iclacitidina Peru
Iterbil Arjantin
Maturus Arjantin
Mietozitidina Arjantin, Peru
Nimodac Arjantin
Remitiva Şili
Tazadir Arjantin
Vidaza Almanya, Amerika Birleşik Devletleri, Arjantin, Avustralya, Belçika, Brezilya, Büyük Britanya, Finlandiya, Fransa, Hırvatistan, İspanya, İsveç, İsviçre, İtalya, İzlanda, Japonya, Kanada, Kolombiya, Lüksemburg, Macaristan, Malezya, Meksika, Norveç, Peru, Romanya, Şili, Slovenya, Tunus, Türkiye, yeni Zelanda
Zacidonel Meksika
Zylatadina Arjantin
Çözeltilerin stabilitesi   Enjeksiyon    Çözeltilerin stabilitesi : Azacitidine     
Saklama kabı Çözücü Konsantrasyon Isı Saklama    Stabilite süresi Kaynaklar
Cam Enjeksiyonluk su 10 & 25 mg/ml 25°C Belirtilmemiş
2 Zaman
4227
Kanıt düzeyi B

Cam Enjeksiyonluk su 25 mg/ml 2-8°C Belirtilmemiş
8 Zaman
3236
Üreticinin stabilite verileri

Cam Enjeksiyonluk su 25 mg/ml 25°C Belirtilmemiş
0.75 Zaman
3236
Üreticinin stabilite verileri

Cam Sodyum klorür % 0,9 0.2 mg/ml 25°C Belirtilmemiş
1.9 Zaman
1039
Kanıt düzeyi D

Cam Sodyum klorür % 0,9 2 mg/ml 25°C Belirtilmemiş
2.4 Zaman
1039
Kanıt düzeyi D

Cam Laktatlı ringer 0.2 mg/ml 25°C Belirtilmemiş
1.9 Zaman
1039
Kanıt düzeyi D

Cam Laktatlı ringer 2 mg/ml 25°C Belirtilmemiş
2.8 Zaman
1039
Kanıt düzeyi D

Cam Enjeksiyonluk su (4°C) 10 & 25 mg/ml -20°C Belirtilmemiş
21 Gün
4227
Kanıt düzeyi B

Cam Enjeksiyonluk su (4°C) 10 & 25 mg/ml 25°C Belirtilmemiş
4 Zaman
4227
Kanıt düzeyi B

Cam Enjeksiyonluk su (4°C) 10 & 25 mg/ml 4°C Belirtilmemiş
24 Zaman
4227
Kanıt düzeyi B

çelişkili veriler
Cam Enjeksiyonluk su (4°C) 25 mg/ml 2-8°C Işıktan koruyunuz
22 Zaman
3236
Üreticinin stabilite verileri

Polipropilen Sodyum klorür % 0,9 1.4 >> 2.4 mg/ml 4°C Belirtilmemiş
3 Zaman
3816
Kanıt düzeyi D

Polipropilen Enjeksiyonluk su (4°C) 10 & 25 mg/ml -20°C Belirtilmemiş
21 Gün
4227
Kanıt düzeyi B

Polipropilen Enjeksiyonluk su (4°C) 10 & 25 mg/ml 4°C Belirtilmemiş
24 Zaman
4227
Kanıt düzeyi B

çelişkili veriler
Şırınga polipropilen Laktatlı ringer 0.5 mg/ml -20°C Işıktan koruyunuz
30 Gün
414
Kanıt düzeyi D

Şırınga polipropilen Laktatlı ringer 0.5 & 2 mg/ml 20°C Belirtilmemiş
2 Zaman
414
Kanıt düzeyi D

Şırınga polipropilen Laktatlı ringer 2 mg/ml -20°C Işıktan koruyunuz
18 Gün
414
Kanıt düzeyi D

Şırınga polipropilen Enjeksiyonluk su (4°C) 25 mg/ml -20°C Işıktan koruyunuz
8 Gün
3204
Kanıt düzeyi A

Şırınga polipropilen Enjeksiyonluk su (4°C) 25 mg/ml -20°C Belirtilmemiş
23 Gün
3351
Kanıt düzeyi B

Şırınga polipropilen Enjeksiyonluk su (4°C) 25 mg/ml -20°C Işıktan koruyunuz
30 Gün
3818
Kanıt düzeyi A

Şırınga polipropilen Enjeksiyonluk su (4°C) 25 mg/ml -20°C Işıktan koruyunuz
28 Gün
4697
Kanıt düzeyi C

Şırınga polipropilen Enjeksiyonluk su (4°C) 25 mg/ml 2-8°C Işıktan koruyunuz
48 Zaman
3534
Kanıt düzeyi A

çelişkili veriler
Şırınga polipropilen Enjeksiyonluk su (4°C) 25 mg/ml 2-8°C Işıktan koruyunuz
3 Gün
3818
Kanıt düzeyi A

çelişkili veriler
Şırınga polipropilen Enjeksiyonluk su (4°C) 25 mg/ml 2-8°C Işıktan koruyunuz
48 Zaman
4628
Kanıt düzeyi A+

çelişkili veriler
Şırınga polipropilen Enjeksiyonluk su (4°C) 25 mg/ml 2-8°C Işıktan koruyunuz
4 Gün
4697
Kanıt düzeyi C

çelişkili veriler
Şırınga polipropilen Enjeksiyonluk su (4°C) 25 mg/ml 20-25°C Işıktan koruyunuz
2 Zaman
4697
Kanıt düzeyi C

Şırınga polipropilen Enjeksiyonluk su (4°C) 25 mg/ml 4°C Işıktan koruyunuz
5 Gün
3246
Kanıt düzeyi A+

çelişkili veriler

  Mentions Légales