Последно актуализиране :
27/04/2026
противораково лекарство   Azacitidine  
Инжекция/Инжекционен
Стабилност на разтвори Стабилност на смеси Фактори, повлияващи стабилността Съвместимост Път на въвеждане Библиография Pdf
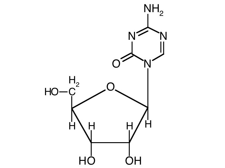
   Химична структура  

Търговско наименование   Търговско наименование     

Търговските имена са примерни и съставът на помощните вещества може да бъде различен в зависимост от държавата и лабораториите

Amilix Аржентина
Arquimes Аржентина
Azacimyl Чили
Azacitidina Аржентина, Перу, Чили
Azacitidine Германия, Съединени Американски щати / САЩ
Azacor Перу
Azadin Турция
Azamex Аржентина
Azanova Аржентина
Azateva Аржентина
Azida Турция
Azitech Аржентина
Citofin Аржентина
Iclacitidina Перу
Iterbil Аржентина
Maturus Аржентина
Mietozitidina Аржентина, Перу
Nimodac Аржентина
Remitiva Чили
Tazadir Аржентина
Vidaza Австралия, Аржентина, Белгия, Бразилия, Великобритания, Германия, Исландия, Испания, Италия, Канада, Колумбия, Люксенбург, Малайзия, Мексико, нова Зеландия, Норвегия, Перу, Румъния, Словения, Съединени Американски щати / САЩ, Тунис, Турция, Унгария, Финландия, Франция, Хърватия, Чили, Швейцария, Швеция, Япония
Zacidonel Мексико
Zylatadina Аржентина
Стабилност на разтвори   Инжекция/Инжекционен   Стабилност на разтвори : Azacitidine     
Контейнер Разтворител Концентрация Температура Съхранение Продължителност на стабилността Библиография
Стъкло Вода за инжекции 10 & 25 mg/ml 25°C Не е уточнено
2 Час
4227
Степен на доказаност B

Стъкло Вода за инжекции 25 mg/ml 2-8°C Не е уточнено
8 Час
3236
Данни за стабилност на производителя

Стъкло Вода за инжекции 25 mg/ml 25°C Не е уточнено
0.75 Час
3236
Данни за стабилност на производителя

Стъкло Sodium chloride 0,9% 0.2 mg/ml 25°C Не е уточнено
1.9 Час
1039
Степен на доказаност D

Стъкло Sodium chloride 0,9% 2 mg/ml 25°C Не е уточнено
2.4 Час
1039
Степен на доказаност D

Стъкло Ринтер лактат 0.2 mg/ml 25°C Не е уточнено
1.9 Час
1039
Степен на доказаност D

Стъкло Ринтер лактат 2 mg/ml 25°C Не е уточнено
2.8 Час
1039
Степен на доказаност D

Стъкло Вода за инжекции (4°C) 10 & 25 mg/ml -20°C Не е уточнено
21 Ден
4227
Степен на доказаност B

Стъкло Вода за инжекции (4°C) 10 & 25 mg/ml 25°C Не е уточнено
4 Час
4227
Степен на доказаност B

Стъкло Вода за инжекции (4°C) 10 & 25 mg/ml 4°C Не е уточнено
24 Час
4227
Степен на доказаност B

противоречиви данни
Стъкло Вода за инжекции (4°C) 25 mg/ml 2-8°C Защита от светлина
22 Час
3236
Данни за стабилност на производителя

Полипропилен Sodium chloride 0,9% 1.4 >> 2.4 mg/ml 4°C Не е уточнено
3 Час
3816
Степен на доказаност D

Полипропилен Вода за инжекции (4°C) 10 & 25 mg/ml -20°C Не е уточнено
21 Ден
4227
Степен на доказаност B

Полипропилен Вода за инжекции (4°C) 10 & 25 mg/ml 4°C Не е уточнено
24 Час
4227
Степен на доказаност B

противоречиви данни
шприц полипропилен Ринтер лактат 0.5 mg/ml -20°C Защита от светлина
30 Ден
414
Степен на доказаност D

шприц полипропилен Ринтер лактат 0.5 & 2 mg/ml 20°C Не е уточнено
2 Час
414
Степен на доказаност D

шприц полипропилен Ринтер лактат 2 mg/ml -20°C Защита от светлина
18 Ден
414
Степен на доказаност D

шприц полипропилен Вода за инжекции (4°C) 25 mg/ml -20°C Защита от светлина
8 Ден
3204
Степен на доказаност A

шприц полипропилен Вода за инжекции (4°C) 25 mg/ml -20°C Не е уточнено
23 Ден
3351
Степен на доказаност B

шприц полипропилен Вода за инжекции (4°C) 25 mg/ml -20°C Защита от светлина
30 Ден
3818
Степен на доказаност A

шприц полипропилен Вода за инжекции (4°C) 25 mg/ml -20°C Защита от светлина
28 Ден
4697
Степен на доказаност C

шприц полипропилен Вода за инжекции (4°C) 25 mg/ml 2-8°C Защита от светлина
48 Час
3534
Степен на доказаност A

противоречиви данни
шприц полипропилен Вода за инжекции (4°C) 25 mg/ml 2-8°C Защита от светлина
3 Ден
3818
Степен на доказаност A

противоречиви данни
шприц полипропилен Вода за инжекции (4°C) 25 mg/ml 2-8°C Защита от светлина
48 Час
4628
Степен на доказаност A+

противоречиви данни
шприц полипропилен Вода за инжекции (4°C) 25 mg/ml 2-8°C Защита от светлина
4 Ден
4697
Степен на доказаност C

противоречиви данни
шприц полипропилен Вода за инжекции (4°C) 25 mg/ml 20-25°C Защита от светлина
2 Час
4697
Степен на доказаност C

шприц полипропилен Вода за инжекции (4°C) 25 mg/ml 4°C Защита от светлина
5 Ден
3246
Степен на доказаност A+

противоречиви данни

  Mentions Légales