Pēdējā atjaunošana :
27/04/2026
vēzis narkotiku   Azacitidine  
Injekcija
Šķīduma stabilitāte Maisījuma stabilitāte Stabilitāti ietekmējoši faktori Saderība Levadīšanas veids Literatūras saraksts pdf
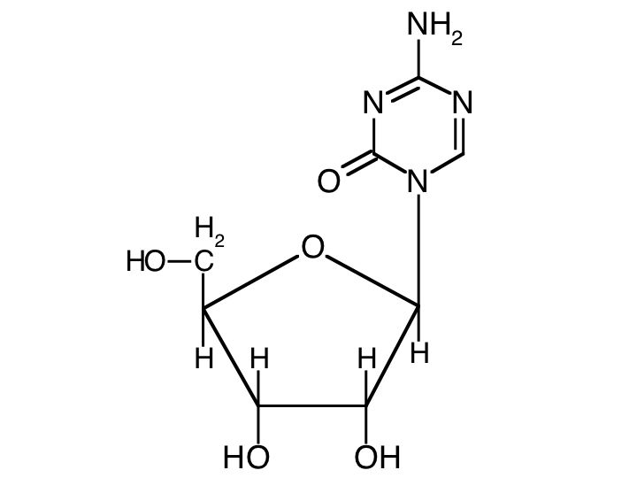
   Ķīmiskā uzbūve   

Oriģinālais nosaukums   Oriģinālais nosaukums     

Tirdzniecības nosaukumi ir apzīmējoši un palīgvielas var atšķirties dažādām valstīm un laboratorijām

Amilix Argentīna
Arquimes Argentīna
Azacimyl Čīle
Azacitidina Argentīna, Čīle, Peru
Azacitidine Amerikas Savienotās Valstis, Vācija
Azacor Peru
Azadin Turcija
Azamex Argentīna
Azanova Argentīna
Azateva Argentīna
Azida Turcija
Azitech Argentīna
Citofin Argentīna
Iclacitidina Peru
Iterbil Argentīna
Maturus Argentīna
Mietozitidina Argentīna, Peru
Nimodac Argentīna
Remitiva Čīle
Tazadir Argentīna
Vidaza Amerikas Savienotās Valstis, Argentīna, Austrālija, Beļģija, Brazīlija, Čīle, Francija, Horvātija, Islande, Itālija, Japāna, Jaunzēlande, Kanāda, Kolumbija, Lielbritānija, Luksemburga, Malaizija, Meksika, Norvēģija, Peru, Rumānija, Slovēnija, Somija, Spānija, Šveice, Tunisija, Turcija, Ungārija, Vācija, Zviedrija
Zacidonel Meksika
Zylatadina Argentīna
Šķīduma stabilitāte   Injekcija   Šķīduma stabilitāte : Azacitidine     
Iepakojums Šķīdinātājs Koncentrācija Temperatūra Glabāšana Stabilitātes ilgums Literatūras saraksts
Stikls Ūdens injekcijām 10 & 25 mg/ml 25°C Nav specifisks
2 Stunda
4227
Pierādījumu līmenis B

Stikls Ūdens injekcijām 25 mg/ml 2-8°C Nav specifisks
8 Stunda
3236
Ražotāja stabilitātes dati

Stikls Ūdens injekcijām 25 mg/ml 25°C Nav specifisks
0.75 Stunda
3236
Ražotāja stabilitātes dati

Stikls Nātrija hlorīds 0.9% 0.2 mg/ml 25°C Nav specifisks
1.9 Stunda
1039
Pierādījumu līmenis D

Stikls Nātrija hlorīds 0.9% 2 mg/ml 25°C Nav specifisks
2.4 Stunda
1039
Pierādījumu līmenis D

Stikls Ringera laktāta šķīdums 0.2 mg/ml 25°C Nav specifisks
1.9 Stunda
1039
Pierādījumu līmenis D

Stikls Ringera laktāta šķīdums 2 mg/ml 25°C Nav specifisks
2.8 Stunda
1039
Pierādījumu līmenis D

Stikls Ūdens injekcijām (4°C) 10 & 25 mg/ml -20°C Nav specifisks
21 Diena
4227
Pierādījumu līmenis B

Stikls Ūdens injekcijām (4°C) 10 & 25 mg/ml 25°C Nav specifisks
4 Stunda
4227
Pierādījumu līmenis B

Stikls Ūdens injekcijām (4°C) 10 & 25 mg/ml 4°C Nav specifisks
24 Stunda
4227
Pierādījumu līmenis B

pretrunīgi dati
Stikls Ūdens injekcijām (4°C) 25 mg/ml 2-8°C Aizsargāt no gaismas
22 Stunda
3236
Ražotāja stabilitātes dati

Polipropilēns Nātrija hlorīds 0.9% 1.4 >> 2.4 mg/ml 4°C Nav specifisks
3 Stunda
3816
Pierādījumu līmenis D

Polipropilēns Ūdens injekcijām (4°C) 10 & 25 mg/ml -20°C Nav specifisks
21 Diena
4227
Pierādījumu līmenis B

Polipropilēns Ūdens injekcijām (4°C) 10 & 25 mg/ml 4°C Nav specifisks
24 Stunda
4227
Pierādījumu līmenis B

pretrunīgi dati
Šļirce polipropilēna Ringera laktāta šķīdums 0.5 mg/ml -20°C Aizsargāt no gaismas
30 Diena
414
Pierādījumu līmenis D

Šļirce polipropilēna Ringera laktāta šķīdums 0.5 & 2 mg/ml 20°C Nav specifisks
2 Stunda
414
Pierādījumu līmenis D

Šļirce polipropilēna Ringera laktāta šķīdums 2 mg/ml -20°C Aizsargāt no gaismas
18 Diena
414
Pierādījumu līmenis D

Šļirce polipropilēna Ūdens injekcijām (4°C) 25 mg/ml -20°C Aizsargāt no gaismas
8 Diena
3204
Pierādījumu līmenis A

Šļirce polipropilēna Ūdens injekcijām (4°C) 25 mg/ml -20°C Nav specifisks
23 Diena
3351
Pierādījumu līmenis B

Šļirce polipropilēna Ūdens injekcijām (4°C) 25 mg/ml -20°C Aizsargāt no gaismas
30 Diena
3818
Pierādījumu līmenis A

Šļirce polipropilēna Ūdens injekcijām (4°C) 25 mg/ml -20°C Aizsargāt no gaismas
28 Diena
4697
Pierādījumu līmenis C

Šļirce polipropilēna Ūdens injekcijām (4°C) 25 mg/ml 2-8°C Aizsargāt no gaismas
48 Stunda
3534
Pierādījumu līmenis A

pretrunīgi dati
Šļirce polipropilēna Ūdens injekcijām (4°C) 25 mg/ml 2-8°C Aizsargāt no gaismas
3 Diena
3818
Pierādījumu līmenis A

pretrunīgi dati
Šļirce polipropilēna Ūdens injekcijām (4°C) 25 mg/ml 2-8°C Aizsargāt no gaismas
48 Stunda
4628
Pierādījumu līmenis A+

pretrunīgi dati
Šļirce polipropilēna Ūdens injekcijām (4°C) 25 mg/ml 2-8°C Aizsargāt no gaismas
4 Diena
4697
Pierādījumu līmenis C

pretrunīgi dati
Šļirce polipropilēna Ūdens injekcijām (4°C) 25 mg/ml 20-25°C Aizsargāt no gaismas
2 Stunda
4697
Pierādījumu līmenis C

Šļirce polipropilēna Ūdens injekcijām (4°C) 25 mg/ml 4°C Aizsargāt no gaismas
5 Diena
3246
Pierādījumu līmenis A+

pretrunīgi dati

  Mentions Légales