Последнее обновление :
27/04/2026
Цитостатическое средство   Azacitidine  
Инъекция
Стабильность растворов Стабильность смесей Факторы, которые влияют на стабильность Совместимость Способы введения Библиография pdf
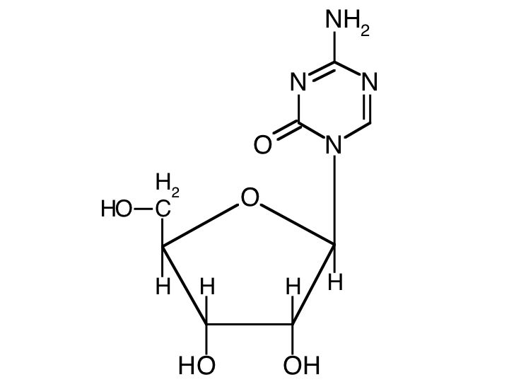
   Химическая структура  

Товарное название   Товарное название     

Trade names are indicative and excipients composition can be different depending on the country and manufacturers

Amilix Аргентина
Arquimes Аргентина
Azacimyl чили
Azacitidina Аргентина, Перу, чили
Azacitidine Германия, Соединённые Штаты Америки
Azacor Перу
Azadin Турция
Azamex Аргентина
Azanova Аргентина
Azateva Аргентина
Azida Турция
Azitech Аргентина
Citofin Аргентина
Iclacitidina Перу
Iterbil Аргентина
Maturus Аргентина
Mietozitidina Аргентина, Перу
Nimodac Аргентина
Remitiva чили
Tazadir Аргентина
Vidaza Австралия, Аргентина, Бельгия, Бразилия, Великобритания, Венгрия, Германия, Исландия, Испания, Италия, Канада, Колумбия, Люксембург, Малайзия, Мексика, новая Зеландия, Норвегия, Перу, Румыния, Словения, Соединённые Штаты Америки, Тунис, Турция, Финляндия, Франция, Хорватия, чили, Швейцария, Швеция, Япония
Zacidonel Мексика
Zylatadina Аргентина
Стабильность растворов   Инъекция   Стабильность растворов : Azacitidine     
Упаковка Растворитель Концентрация Температура Хранение Продолжительность стабильности Ссылки
Стекло Вода для инъекций 10 & 25 mg/ml 25°C Не указано
2 Час
4227
Уровень доказательности B

Стекло Вода для инъекций 25 mg/ml 2-8°C Не указано
8 Час
3236
Данные по стабльности от изготовителя

Стекло Вода для инъекций 25 mg/ml 25°C Не указано
0.75 Час
3236
Данные по стабльности от изготовителя

Стекло Натрия хлорид 0,9% 0.2 mg/ml 25°C Не указано
1.9 Час
1039
Уровень доказательности D

Стекло Натрия хлорид 0,9% 2 mg/ml 25°C Не указано
2.4 Час
1039
Уровень доказательности D

Стекло Раствор Рингера лактата 0.2 mg/ml 25°C Не указано
1.9 Час
1039
Уровень доказательности D

Стекло Раствор Рингера лактата 2 mg/ml 25°C Не указано
2.8 Час
1039
Уровень доказательности D

Стекло Вода для инъекций (4°C) 10 & 25 mg/ml -20°C Не указано
21 День
4227
Уровень доказательности B

Стекло Вода для инъекций (4°C) 10 & 25 mg/ml 25°C Не указано
4 Час
4227
Уровень доказательности B

Стекло Вода для инъекций (4°C) 10 & 25 mg/ml 4°C Не указано
24 Час
4227
Уровень доказательности B

противоречивые данные
Стекло Вода для инъекций (4°C) 25 mg/ml 2-8°C Защищён от света
22 Час
3236
Данные по стабльности от изготовителя

Полипропилен Натрия хлорид 0,9% 1.4 >> 2.4 mg/ml 4°C Не указано
3 Час
3816
Уровень доказательности D

Полипропилен Вода для инъекций (4°C) 10 & 25 mg/ml -20°C Не указано
21 День
4227
Уровень доказательности B

Полипропилен Вода для инъекций (4°C) 10 & 25 mg/ml 4°C Не указано
24 Час
4227
Уровень доказательности B

противоречивые данные
Шприц полипропилен Раствор Рингера лактата 0.5 mg/ml -20°C Защищён от света
30 День
414
Уровень доказательности D

Шприц полипропилен Раствор Рингера лактата 0.5 & 2 mg/ml 20°C Не указано
2 Час
414
Уровень доказательности D

Шприц полипропилен Раствор Рингера лактата 2 mg/ml -20°C Защищён от света
18 День
414
Уровень доказательности D

Шприц полипропилен Вода для инъекций (4°C) 25 mg/ml -20°C Защищён от света
8 День
3204
Уровень доказательности A

Шприц полипропилен Вода для инъекций (4°C) 25 mg/ml -20°C Не указано
23 День
3351
Уровень доказательности B

Шприц полипропилен Вода для инъекций (4°C) 25 mg/ml -20°C Защищён от света
30 День
3818
Уровень доказательности A

Шприц полипропилен Вода для инъекций (4°C) 25 mg/ml -20°C Защищён от света
28 День
4697
Уровень доказательности C

Шприц полипропилен Вода для инъекций (4°C) 25 mg/ml 2-8°C Защищён от света
48 Час
3534
Уровень доказательности A

противоречивые данные
Шприц полипропилен Вода для инъекций (4°C) 25 mg/ml 2-8°C Защищён от света
3 День
3818
Уровень доказательности A

противоречивые данные
Шприц полипропилен Вода для инъекций (4°C) 25 mg/ml 2-8°C Защищён от света
48 Час
4628
Уровень доказательности A +

противоречивые данные
Шприц полипропилен Вода для инъекций (4°C) 25 mg/ml 2-8°C Защищён от света
4 День
4697
Уровень доказательности C

противоречивые данные
Шприц полипропилен Вода для инъекций (4°C) 25 mg/ml 20-25°C Защищён от света
2 Час
4697
Уровень доказательности C

Шприц полипропилен Вода для инъекций (4°C) 25 mg/ml 4°C Защищён от света
5 День
3246
Уровень доказательности A +

противоречивые данные

  Mentions Légales