Останнє оновлення :
27/01/2026
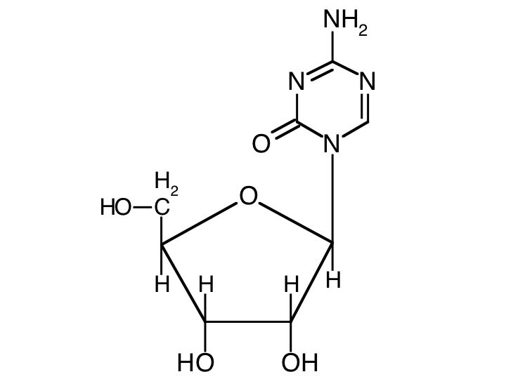
Протипухлинний препарат   Azacitidine  
ін'єкція
Стійкість в розчинах Стійкість сумішей Фактори, що впливають на стабільність Сумісність Шлях введення Список літератури pdf
   Хімічна структура  

Торгова назва   Торгова назва     

Торгові назви є орієнтовними, а склад допоміжних речовин може бути різним залежно від країни та виробника

Amilix Аргентина
Arquimes Аргентина
Azacimyl Чилі
Azacitidina Аргентина, Перу, Чилі
Azacitidine Німеччина, Сполучені Штати Америки
Azacor Перу
Azadin Туреччина
Azamex Аргентина
Azanova Аргентина
Azateva Аргентина
Azida Туреччина
Azitech Аргентина
Citofin Аргентина
Iclacitidina Перу
Iterbil Аргентина
Maturus Аргентина
Mietozitidina Аргентина, Перу
Nimodac Аргентина
Remitiva Чилі
Tazadir Аргентина
Vidaza Ісландія, Іспанія, Італія, Австралія, Аргентина, Бельгія, Бразилія, Великобританія, Канада, Колумбія, Люксембург, Малайзія, Мексика, Німеччина, Нова Зеландія, Норвегія, Перу, Румунія, Словенія, Сполучені Штати Америки, Туніс, Туреччина, Угорщина, Фінляндія, Франція, Хорватія, Чилі, Швейцарія, Швеція, Японія
Zacidonel Мексика
Zylatadina Аргентина
Стійкість сумішей   ін'єкція   Стійкість сумішей : Azacitidine     
7 / 5 000 Résultats de traduction Немає даних

  Mentions Légales