Ostatnia aktualizacja :
27/01/2026
Lek cytostatyk   Azacitidine  
Injekcje
Trwałość roztworów Trwałość w mieszaninie Czynnik wpływający na trwałość Zgodność Sposób podania Bibliografia pdf
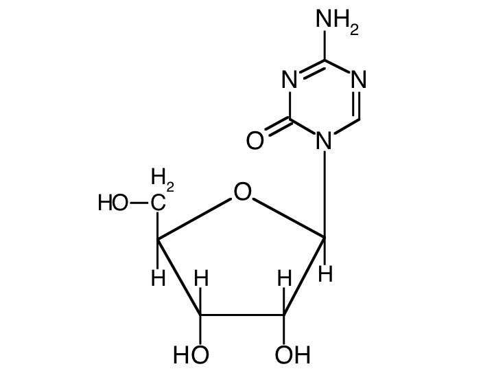
   Struktura chemiczna  

Nazwa handlowa   Nazwa handlowa     

Trade names are indicative and excipients composition can be different depending on the country and manufacturers

Amilix Argentyna
Arquimes Argentyna
Azacimyl Chile
Azacitidina Argentyna, Chile, Peru
Azacitidine Niemcy, Stany Zjednoczone Ameryki
Azacor Peru
Azadin Turcja
Azamex Argentyna
Azanova Argentyna
Azateva Argentyna
Azida Turcja
Azitech Argentyna
Citofin Argentyna
Iclacitidina Peru
Iterbil Argentyna
Maturus Argentyna
Mietozitidina Argentyna, Peru
Nimodac Argentyna
Remitiva Chile
Tazadir Argentyna
Vidaza Argentyna, Australia, Belgia, Brazylia, Chile, Chorwacja, Finlandia, Francja , Hiszpania, Islandia, Japonia, Kanada, KolumbiaKolumbia, Luksemburg, Malezja, Meksyk, Niemcy, Norwegia, nowa Zelandia, Peru, Rumunia, Stany Zjednoczone Ameryki, Szwajcaria, Szwecja, Słowenia, Tunisie, Turcja, Węgry, Wielka Brytania, Włochy
Zacidonel Meksyk
Zylatadina Argentyna
Trwałość w mieszaninie   Injekcje   Trwałość w mieszaninie : Azacitidine     
Brak danych

  Mentions Légales