Última actualização :
27/01/2026
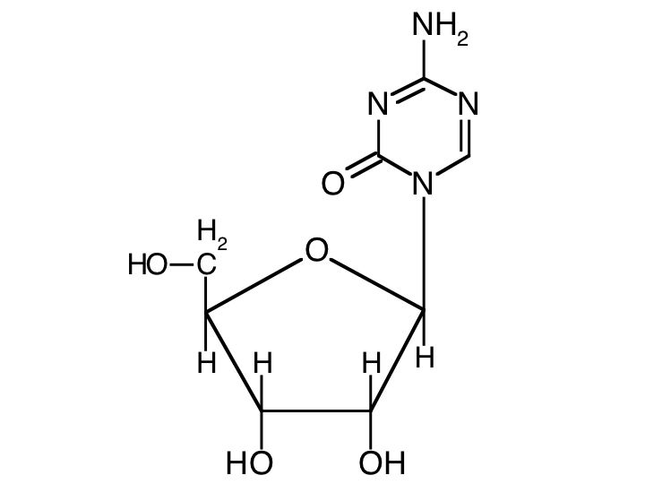
droga contra o câncer   Azacitidine  
injetável
Estabilidade em soluções simples Estabilidade em misturas Factores que afectam a sua estabilidade Compatibilidade Método de administração Bibliografía pdf
   estrutura química  

Nomes comerciais nos diversos países   Nomes comerciais nos diversos países     

OS NOMES COMERCIAIS SÃO INDICATIVOS E OS EXCIPIENTES DA FORMULAÇÃO PODEM SER DIFERENTES CONFORME O PAÍS E FABRICANTE.

Amilix Argentina
Arquimes Argentina
Azacimyl Chilli
Azacitidina Argentina, Chilli, Peru
Azacitidine Alemanha, Estados Unidos de América
Azacor Peru
Azadin Turquia
Azamex Argentina
Azanova Argentina
Azateva Argentina
Azida Turquia
Azitech Argentina
Citofin Argentina
Iclacitidina Peru
Iterbil Argentina
Maturus Argentina
Mietozitidina Argentina, Peru
Nimodac Argentina
Remitiva Chilli
Tazadir Argentina
Vidaza Alemanha, Argentina, Australia, Bélgica, Brasil, Canadá, Chilli, Colômbia, Croácia, Eslovenia, Espanha, Estados Unidos de América, Finlandia, França, Gran-bretanha, Hungria, Islandia, Itália, Japón, Luxemburgo, Malásia, México, Noruega, nova Zelândia, Peru, Romènia, Suècia, Suicia, Tunísia, Turquia
Zacidonel México
Zylatadina Argentina
Estabilidade em misturas   injetável   Estabilidade em misturas : Azacitidine     
Ausência de dados

  Mentions Légales