Zadnji put ažurirano :
27/01/2026
lijek protiv karcinoma   Azacitidine  
injekcija
Stabilizacija rješenja Stabilnost mješavine Stabilizacijski faktor Kompatibilnosti način davanja lijeka Bibliografija pdf
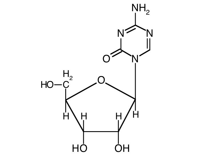
   Kemijska struktura  

Nekomercijalni   Nekomercijalni     

Zaštićeni nazivi su indikativni i sastav ekscipijensa može biti različit ovisno o državi i laboratorijima

Amilix Argentina
Arquimes Argentina
Azacimyl Čile
Azacitidina Argentina, Čile, Peru
Azacitidine Njemačka, S A D
Azacor Peru
Azadin Turska
Azamex Argentina
Azanova Argentina
Azateva Argentina
Azida Turska
Azitech Argentina
Citofin Argentina
Iclacitidina Peru
Iterbil Argentina
Maturus Argentina
Mietozitidina Argentina, Peru
Nimodac Argentina
Remitiva Čile
Tazadir Argentina
Vidaza Argentina, Australija, Belgija, Brazil, Čile, Finska, Francuska, Hrvatska, Island, Italija, Japan, Kanada, Kolumbija, Luksemburg, Madžarska, Malezija, Meksiko, Njemačka, Norveška, novi Zeland, Peru, Rumunjska, S A D, Slovenija, Španjolska, Švedska, Švicarska, Tunis, Turska, Velika Britanija
Zacidonel Meksiko
Zylatadina Argentina
Stabilnost mješavine   injekcija   Stabilnost mješavine : Azacitidine     
bez podataka

  Mentions Légales