Cập nhật lần cuối :
27/04/2026
thuốc trị ung thư   Cyclophosphamide  
Dạng tiêm
Dung dịch uống Viên nang
Tính ổn định của các dung dịch Độ ổn định khi trộn lẫn Những yếu tố ảnh hưởng đến độ ổn định Khả năng tương thích Đường dùng Tài liệu tham khảo Pdf
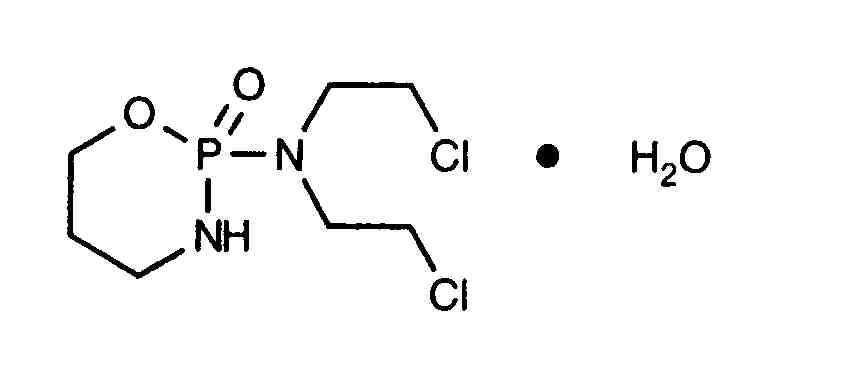
   Cấu trúc hóa học  

Tên thương mại   Tên thương mại     

Các tên thương mại được cung cấp và thành phần tá dược có thể khác nhau giữa các quốc gia và các hãng dược

Alkyloxan Ả Rập, Malaysia
Celomide Ấn Độ
Ciclofosfamida Argentina, Chile, Romania
Cicloxal Tây Ban Nha
Cryofaxol Mexico
Cycloblastin Úc
Cycloblastine Hà Lan
Cyclophosphamid Đan Mạch, Đức
Cyclophosphamide Ả Rập Saudi, Anh, Hoa Kỳ, new zealand
Cyclostin Đức
Cycloxan Malaysia
Cycram Ả Rập
Cytoxan Canada, Hoa Kỳ, Hungary
Eldamide Ấn Độ
Endoxan Ả Rập Saudi, Ấn Độ, Áo, Ba Lan, Bỉ, Bồ Đào Nha, Chile, Colombia, Croatia, Ecuador, Hà Lan, Hungary, Hy Lạp, Iran, Luxembourg, Morocco, new zealand, Pháp, Slovenia, Thái Lan, Thổ Nhĩ Kỳ, Thụy Sỹ, Tunisia, Úc, United Arab Emirates, Venezuela, Ý, Đức
Endoxana Anh, Ireland
Formitex Colombia, Mexico
Genoxal Tây Ban Nha
Genuxal Brazil
Hidrofosmin Mexico
Ledoxan Colombia
Ledoxina Colombia, Mexico
Neophos Ả Rập
Neosar Hoa Kỳ
Procytox Canada
Sendoxan Iceland, Na Uy, Phần Lan, Thụy Điển, Đan Mạch
Syklofosfamid Phần Lan, Thổ Nhĩ Kỳ
Đường dùng   Đường dùng :Cyclophosphamide     
Đường dùng
Tiêm tĩnh mạch
Truyền tĩnh mạch
Truyền liên tục
Tiêm bắp
Tiêm trong động mạch
Tiêm vào trong màng phổi
Tiêm vào trong phúc mạc

  Mentions Légales