Son güncelleme :
27/04/2026
kanser ilaç   Cyclophosphamide  
Enjeksiyon
Kapsül Oral solüsyon / oral çözelti
Çözeltilerin stabilitesi Karışımlardaki stabilitesi Stabiliteyi etkileyen faktörler Uyumluluk Uygulama yöntemi Kaynaklar pdf
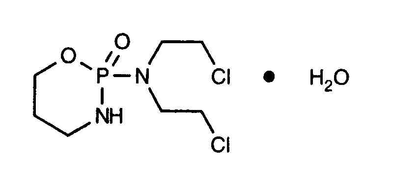
   Kimyasal yapı   

Ticari isim   Ticari isim     

Trade names are indicative and excipients composition can be different depending on the country and manufacturers

Alkyloxan Malezya, Mısır
Celomide Hindistan
Ciclofosfamida Arjantin, Romanya, Şili
Cicloxal İspanya
Cryofaxol Meksika
Cycloblastin Avustralya
Cycloblastine Hollanda
Cyclophosphamid Almanya, Danimarka
Cyclophosphamide Amerika Birleşik Devletleri, Büyük Britanya, Suudi Arabistan, yeni Zelanda
Cyclostin Almanya
Cycloxan Malezya
Cycram Mısır
Cytoxan Amerika Birleşik Devletleri, Kanada, Macaristan
Eldamide Hindistan
Endoxan Almanya, Avustralya, Avusturya, Belçika, Birleşik Arap Emirlikleri, Ekvador, Fas, Fransa, Hindistan, Hırvatistan, Hollanda, İran, İsviçre, İtalya, Kolombiya, Lüksemburg, Macaristan, Polonya, Portekiz, Şili, Slovenya, Suudi Arabistan, Tayland, Tunus, Türkiye, Venezuela, yeni Zelanda, Yunanistan
Endoxana Büyük Britanya, İrlanda
Formitex Kolombiya, Meksika
Genoxal İspanya
Genuxal Brezilya
Hidrofosmin Meksika
Ledoxan Kolombiya
Ledoxina Kolombiya, Meksika
Neophos Mısır
Neosar Amerika Birleşik Devletleri
Procytox Kanada
Sendoxan Danimarka, Finlandiya, İsveç, İzlanda, Norveç
Syklofosfamid Finlandiya, Türkiye
Uygulama yöntemi   Uygulama yöntemi :Cyclophosphamide     
Voie
İntravenöz
İntravenöz infüzyon
Sürekli infüzyon
İntramüsküler
İntraarteriyel
İntraplevral
İntraperitonel

  Mentions Légales