最新更新 :
27/04/2026
抗癌藥物   Cyclophosphamide  
注射液
口服剂 胶囊
溶液稳定性 混合物稳定性 影响稳定性的因素 兼容性 用药途径 引用文献 PDF
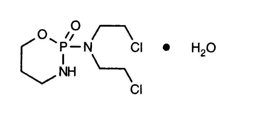
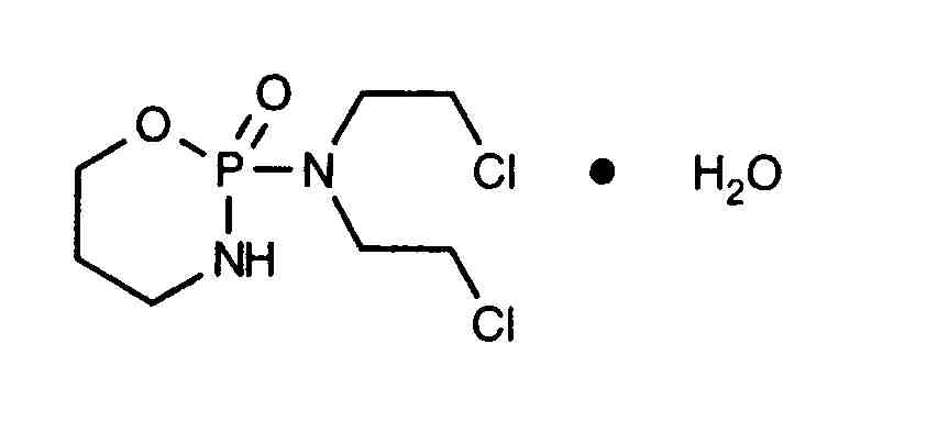
   化学式  

商品名   商品名     

商品名仅供参考, 药品所用的辅料可能依国家或厂商不同有所不同。

Alkyloxan 埃及, 马来西亚
Celomide 印度
Ciclofosfamida 智利, 罗马尼亚, 阿根廷
Cicloxal 西班牙
Cryofaxol 墨西哥
Cycloblastin 澳大利亚
Cycloblastine 荷兰
Cyclophosphamid 丹麦, 德国
Cyclophosphamide 新西蘭, 沙特阿拉伯, 美国, 英国
Cyclostin 德国
Cycloxan 马来西亚
Cycram 埃及
Cytoxan 加拿大, 匈牙利, 美国
Eldamide 印度
Endoxan 伊朗, 克罗地亚, 匈牙利, 卢森堡, 印度, 厄瓜多尔, 哥伦比亚, 土耳其, 奥地利, 委内瑞拉, 希腊, 德国, 意大利, 摩洛哥, 斯洛文尼亚, 新西蘭, 智利, 比利时, 沙特阿拉伯, 法国, 波兰, 泰国, 澳大利亚, 瑞士, 突尼斯, 荷兰, 葡萄牙, 阿联酋
Endoxana 爱尔兰, 英国
Formitex 哥伦比亚, 墨西哥
Genoxal 西班牙
Genuxal 巴西
Hidrofosmin 墨西哥
Ledoxan 哥伦比亚
Ledoxina 哥伦比亚, 墨西哥
Neophos 埃及
Neosar 美国
Procytox 加拿大
Sendoxan 丹麦, 冰岛, 挪威, 瑞典, 芬兰
Syklofosfamid 土耳其, 芬兰
用药途径   用药途径 :Cyclophosphamide     
路线
静脉注射
静脉输液
持续输液
肌肉内
动脉内
胸腔内
腹膜内

  Mentions Légales