Son güncelleme :
27/04/2026
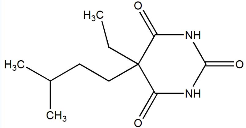
Genel anestezik   Amobarbital sodium  
Enjeksiyon
Çözeltilerin stabilitesi Karışımlardaki stabilitesi Stabiliteyi etkileyen faktörler Uyumluluk Uygulama yöntemi Kaynaklar pdf
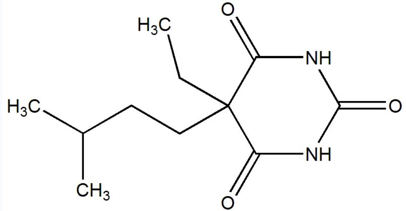
   Kimyasal yapı   

Ticari isim   Ticari isim     

Trade names are indicative and excipients composition can be different depending on the country and manufacturers

Amytal Sodium Amerika Birleşik Devletleri
Çözeltilerin stabilitesi   Enjeksiyon    Çözeltilerin stabilitesi : Amobarbital sodium     
veri yok

  Mentions Légales