Posledná aktualizácia :
27/04/2026
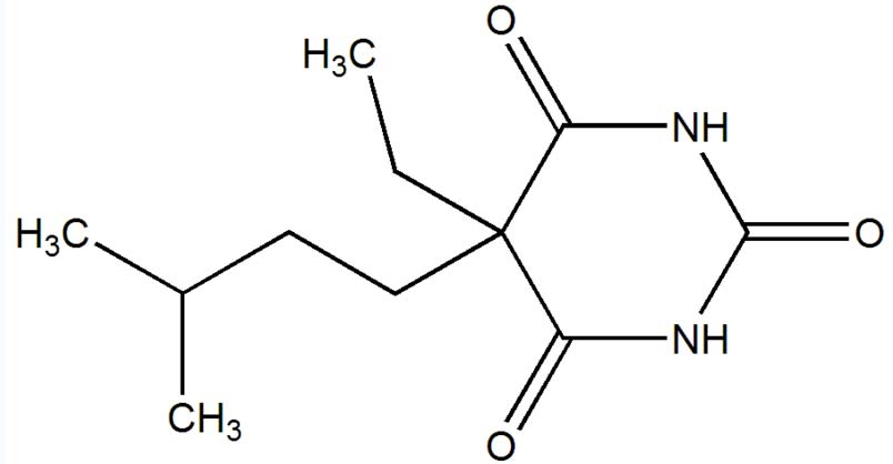
celkové anestetikum   Amobarbital sodium  
Injekcia
Stabilita roztokov Stabilita v zmesiach Faktory ovplyvňujúce stabilitu Kompatibility spôsob podania Odkazy na literatúru PDF
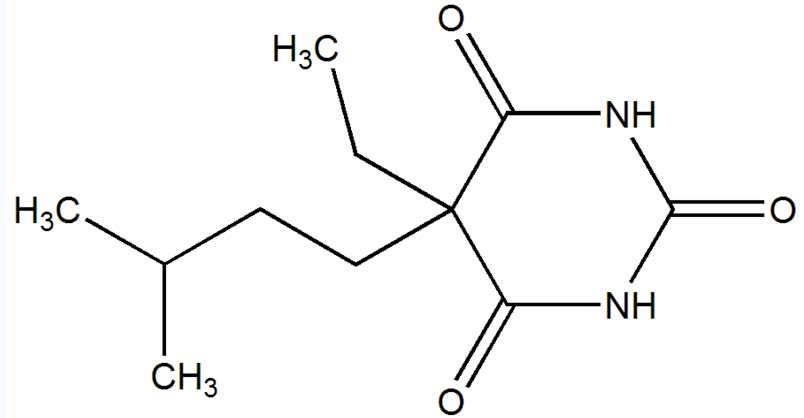
   Chemický vzorec  

Obchodný názov   Obchodný názov     

Obchodné názvy sú orientačné, a zloženie pomocných látok sa môže líšiť v závislosti od krajiny a výrobcu.

Amytal Sodium Spojené štáty Americké
Stabilita roztokov   Injekcia   Stabilita roztokov : Amobarbital sodium     
žiadne údaje

  Mentions Légales