Ostatnia aktualizacja :
27/04/2026
Znieczulenie ogólne   Amobarbital sodium  
Injekcje
Trwałość roztworów Trwałość w mieszaninie Czynnik wpływający na trwałość Zgodność Sposób podania Bibliografia pdf
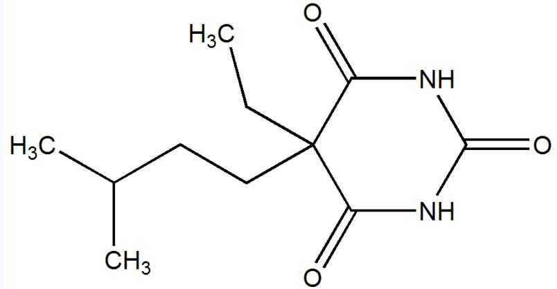
   Struktura chemiczna  

Nazwa handlowa   Nazwa handlowa     

Trade names are indicative and excipients composition can be different depending on the country and manufacturers

Amytal Sodium Stany Zjednoczone Ameryki
Trwałość roztworów   Injekcje   Trwałość roztworów : Amobarbital sodium     
Brak danych

  Mentions Légales