Última actualización :
27/04/2026
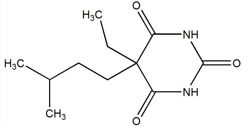
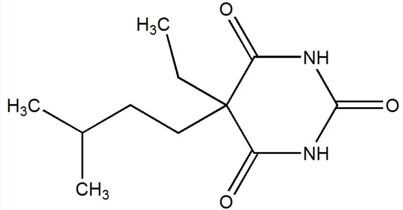
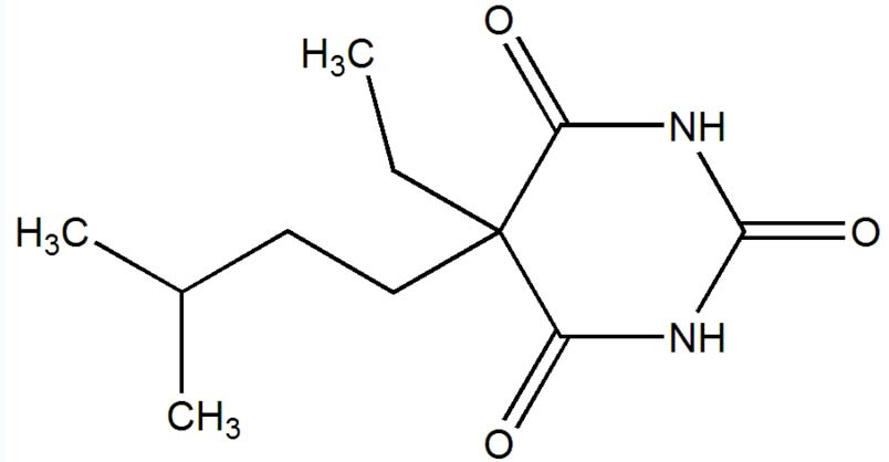
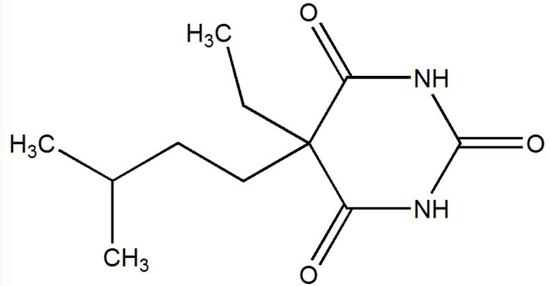
Anestésico general   Amobarbital sodium  
Inyectables
Estabilidad en solucion Estabilidad en mezcla Factores que influyen sobre la estabilidad Compatibilidades método de inyección Bibliografía pdf
   Estructura química  

Nombre comercial   Nombre comercial     

Los nombres comerciales son orientativos y los excipientes de la formulación pueden ser distintos dependiendo del país y del laboratorio fabricante.

Amytal Sodium Estados Unidos de América
Estabilidad en solucion   Inyectables   Estabilidad en solucion : Amobarbital sodium     
Ausencia de datos

  Mentions Légales