Viimeisin päivitys :
27/04/2026
Yleisanesteetit   Amobarbital sodium  
Injektioneste
Stabilius liuoksessa Stabilius seoksissa Tekijät, jotka vaikuttavat stabiliuteen Yhteensopivuus Antotapa Viitteet pdf
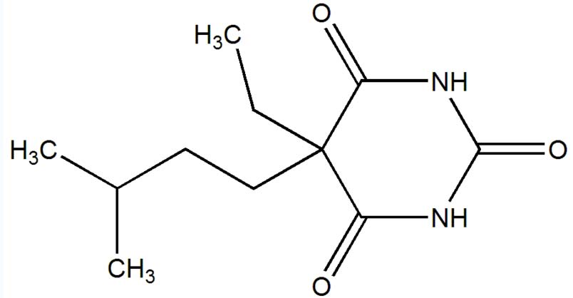
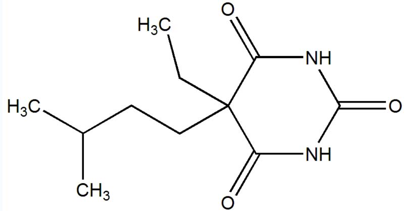
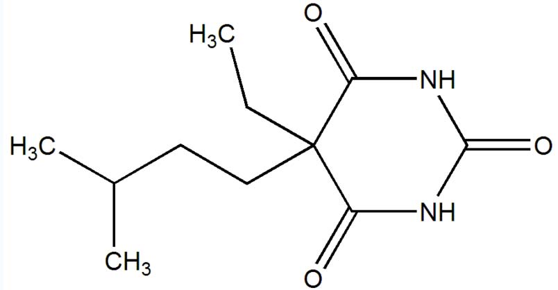
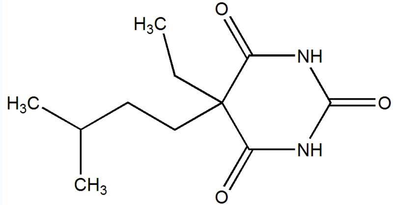
   Kemiallinen rakenne  

Kauppanimi   Kauppanimi     

Trade names are indicative and excipients composition can be different depending on the country and manufacturers

Amytal Sodium Yhdysvallat
Stabilius liuoksessa   Injektioneste   Stabilius liuoksessa : Amobarbital sodium     
ei tietoa

  Mentions Légales