Останнє оновлення :
27/01/2026
Загальний наркоз   Amobarbital sodium  
ін'єкція
Стійкість в розчинах Стійкість сумішей Фактори, що впливають на стабільність Сумісність Шлях введення Список літератури pdf
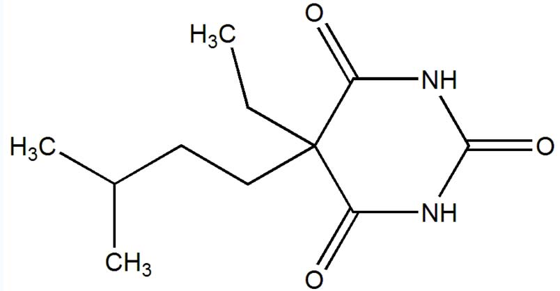
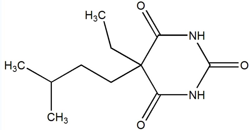
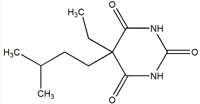
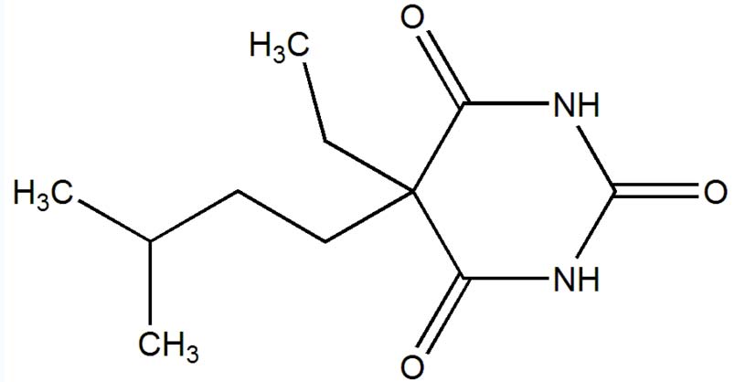
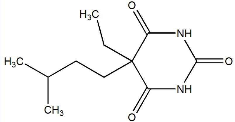
   Хімічна структура  

Торгова назва   Торгова назва     

Торгові назви є орієнтовними, а склад допоміжних речовин може бути різним залежно від країни та виробника

Amytal Sodium Сполучені Штати Америки

Фактори, що впливають на стабільність   ін'єкція   Фактори, що впливають на стабільність : Amobarbital sodium        
7 / 5 000 Résultats de traduction Немає даних

  Mentions Légales