آخر تحديث :
27/01/2026
أدوية تخدير عام   Amobarbital sodium  
حقن
الاستقرار في حلول استقرار مخاليط العوامل التي تؤثر على الاستقرار التوافق طريقة التعاطي مراجع pdf
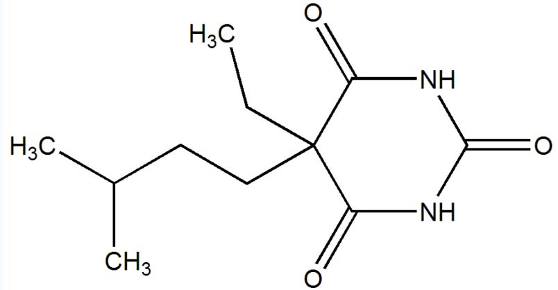
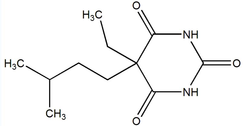
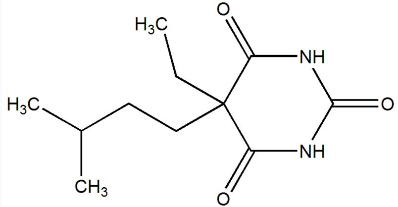
   التركيب الكيميائي  

حجز الاسم التجاري   حجز الاسم التجاري     

تحذير الأسماء التجاريه المختلفه قد تحتوي علي محتوي إضافات مختلفة حسب الدوله و المعمل

Amytal Sodium الولايات المتحدة

العوامل التي تؤثر على الاستقرار   حقن   العوامل التي تؤثر على الاستقرار : Amobarbital sodium        
لا توجد بيانات

  Mentions Légales