Última actualização :
27/01/2026
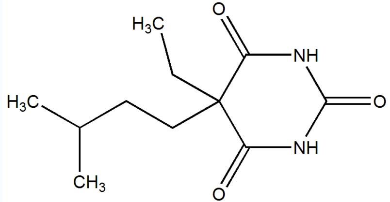
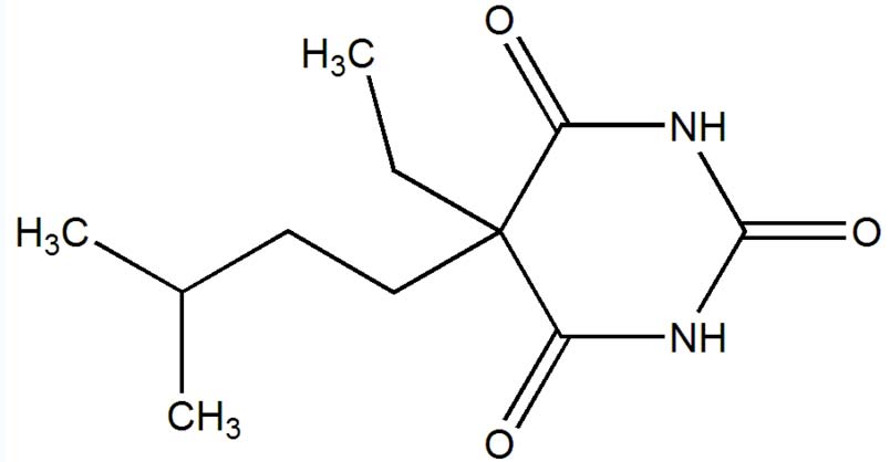
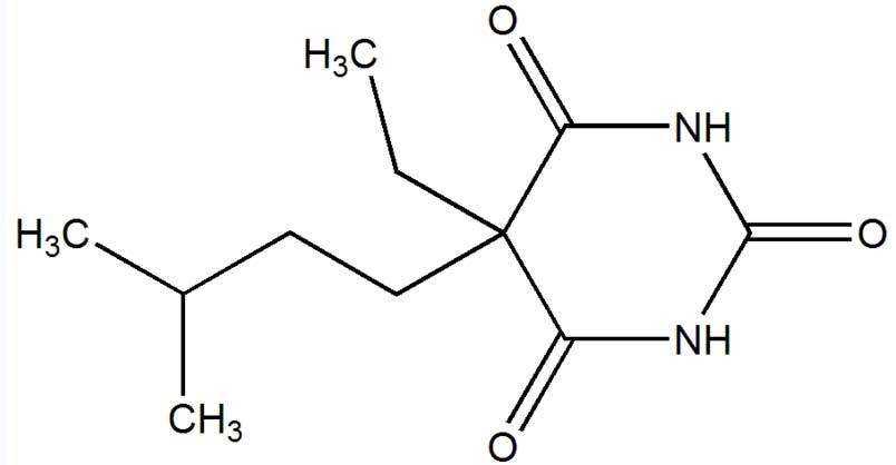
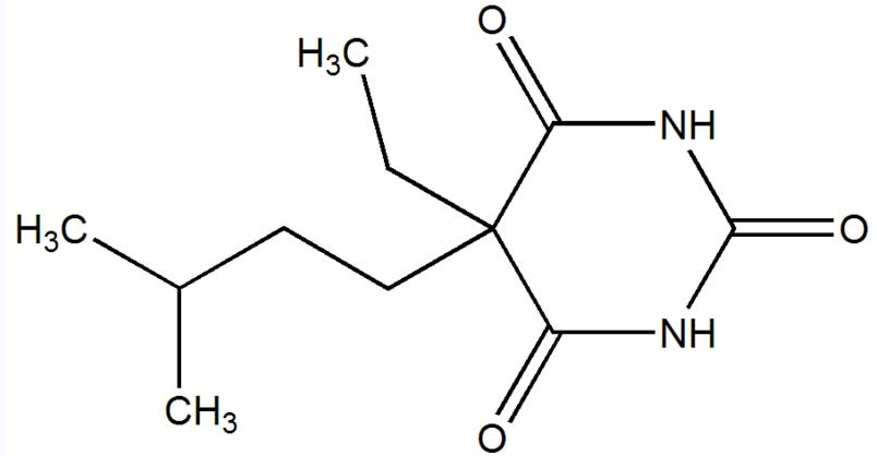
Anestésico general   Amobarbital sodium  
injetável
Estabilidade em soluções simples Estabilidade em misturas Factores que afectam a sua estabilidade Compatibilidade Método de administração Bibliografía pdf
   estrutura química  

Nomes comerciais nos diversos países   Nomes comerciais nos diversos países     

OS NOMES COMERCIAIS SÃO INDICATIVOS E OS EXCIPIENTES DA FORMULAÇÃO PODEM SER DIFERENTES CONFORME O PAÍS E FABRICANTE.

Amytal Sodium Estados Unidos de América

Factores que afectam a sua estabilidade   injetável   Factores que afectam a sua estabilidade : Amobarbital sodium        
Ausência de dados

  Mentions Légales