最新更新 :
27/01/2026
通常麻酔薬   Amobarbital sodium  
注射薬
溶媒内の安定性 混合時の安定性 安定性に影響する因子 互換性 投与経路 引用文献 PDF
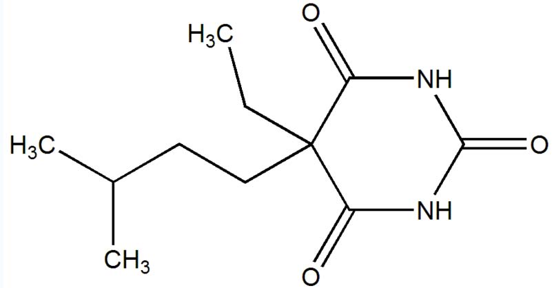
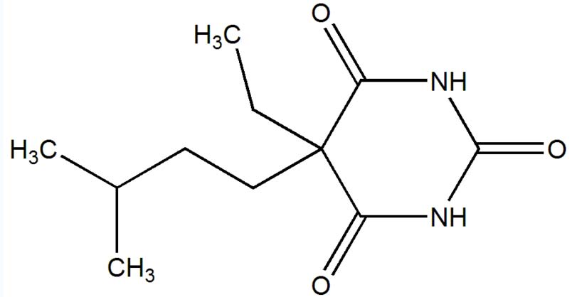
   化学構造  

商品名   商品名     

商品名、賦形剤は国、製薬会社ごとに異なることがあります

Amytal Sodium アメリカ

安定性に影響する因子   注射薬   安定性に影響する因子 : Amobarbital sodium        
データなし

  Mentions Légales