Zadnji put ažurirano :
27/01/2026
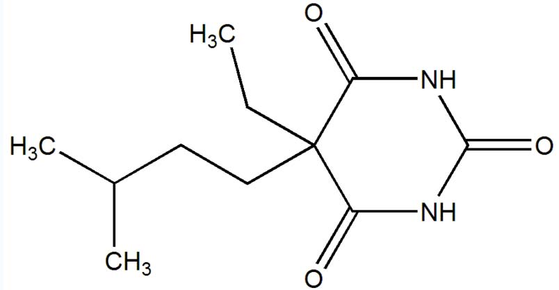
opća anestezija   Amobarbital sodium  
injekcija
Stabilizacija rješenja Stabilnost mješavine Stabilizacijski faktor Kompatibilnosti način davanja lijeka Bibliografija pdf
   Kemijska struktura  

Nekomercijalni   Nekomercijalni     

Zaštićeni nazivi su indikativni i sastav ekscipijensa može biti različit ovisno o državi i laboratorijima

Amytal Sodium S A D

Stabilizacijski faktor   injekcija   Stabilizacijski faktor : Amobarbital sodium        
bez podataka

  Mentions Légales