Senaste uppdateringen :
27/04/2026
Antibiotikum   Erythromycin lactobionate  
injektion
Lösningars stabilitet Stabilitet i blandningar Faktorer som påverkar stabiliteten Kompatibilitet Administreringssätt Hänvisningar pdf
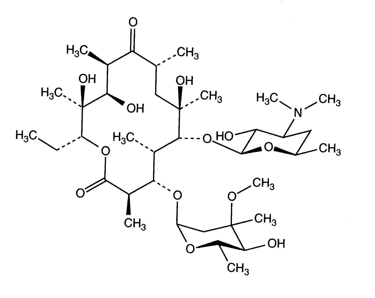
   Molekylstruktur  

Varunamn   Varunamn     

Angivna handelsnamn på läkemedel är enbart vägledande då formulering inklusive hjälpämnen kan variera mellan länder och tillverkare

Abboticin Danmark, Finland, Norge, Sverige
Eristin Argentina
Erithromicina Chile
Erycinum Tyskland
Erythrocin Australien, Förenta Staterna, Irland, Kanada, nya Zeeland, Österrike, Saudi-Arabien, Storbritannien, Tyskland
Erythrocin lactobionat ADD Vantage Australien, Österrike
Erythrocine Belgien, Frankrike, Luxemburg, Nederländerna, Tunisien
Erythromycin Förenta Staterna, Saudi-Arabien, Storbritannien, Tyskland, Ungern
Erythromycine Luxemburg
Erythromycinum Polen
Pantomicina Chile, Spanien
Administreringssätt   Administreringssätt :Erythromycin lactobionate     
Voie
Intravenös infusion
Långtidsinfusion

  Mentions Légales