viimane versioon :
27/04/2026
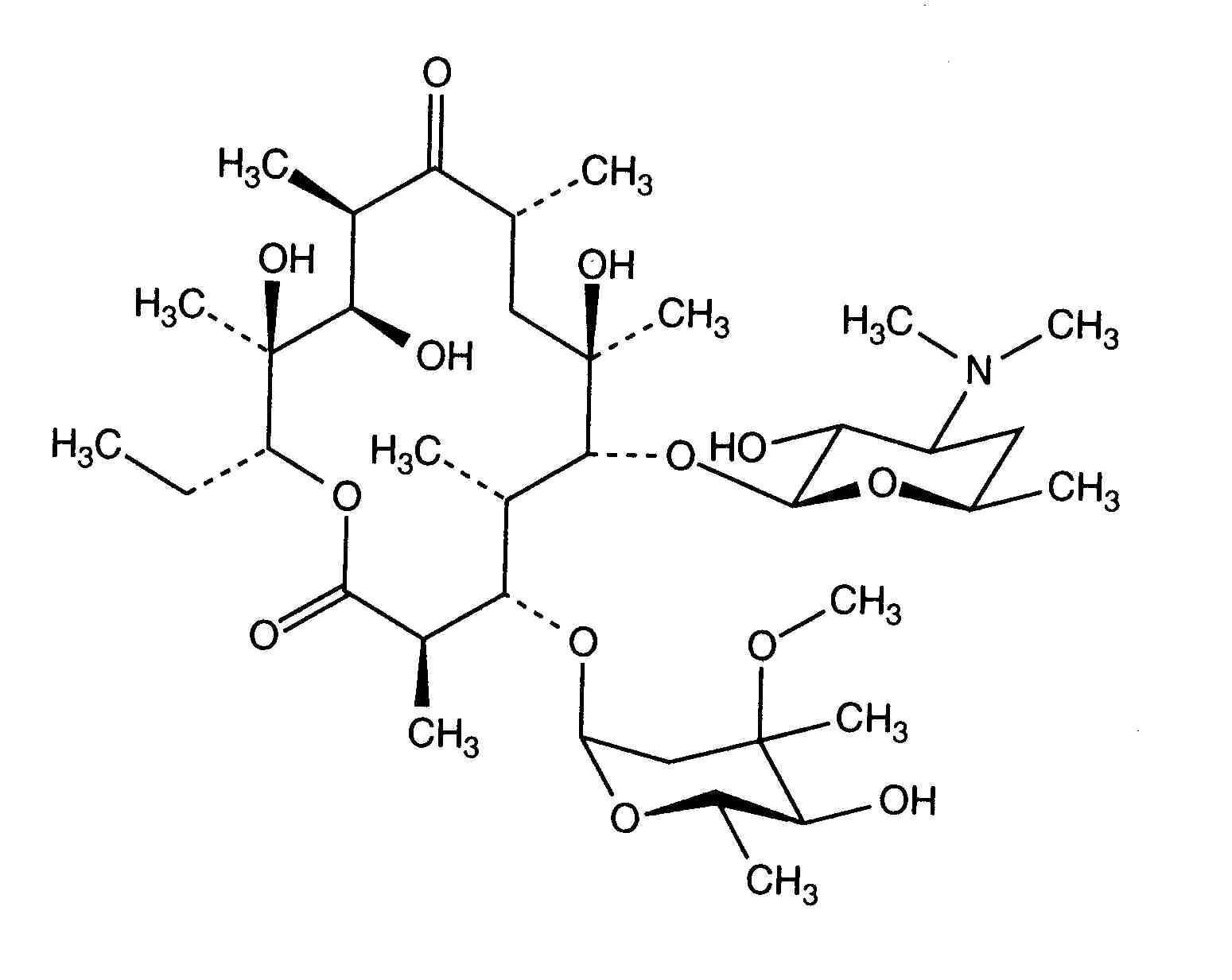
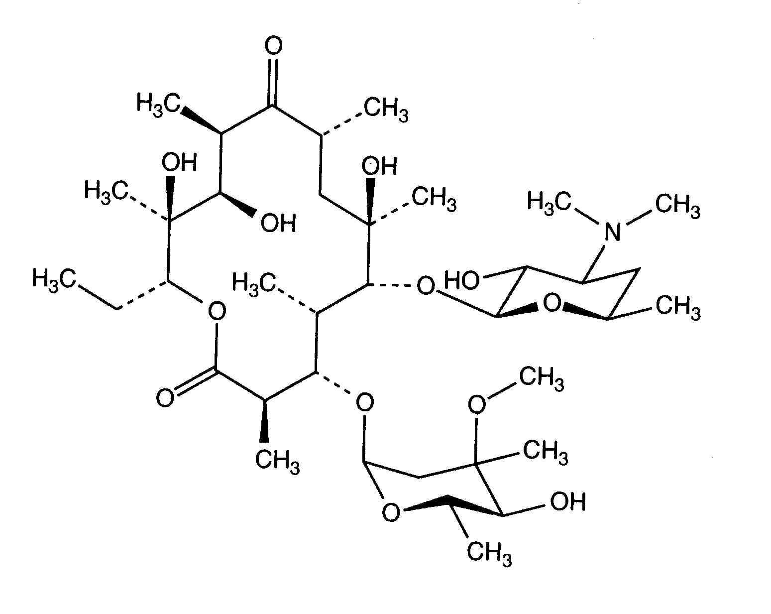
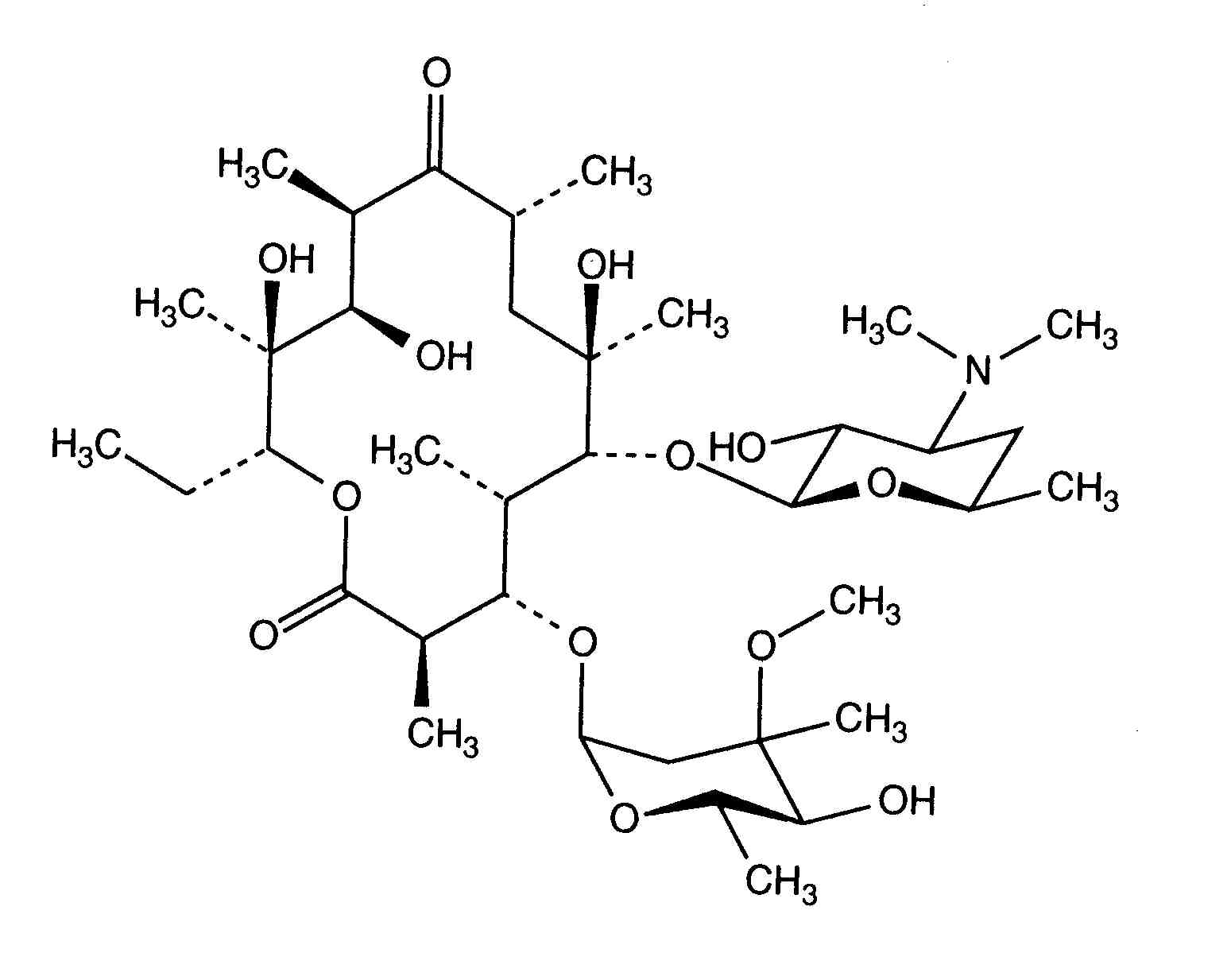
antibiootikum   Erythromycin lactobionate  
Süsteravim
Stabiilsus lahustes Stabiilsust mõjutavad tegurid stabiilsust mõjutavad faktorid Sobimatus Manustamis viis Viited pdf
   keemiline struktuur  

Kaubanduslikud nimed erinevates maades   Kaubanduslikud nimed erinevates maades     

Preparaatide nimed on näitlikud ja abianete sisaldus võib erineda sõltuvalt riigist ja laborist

Abboticin Norra, Rootsi, Soome, Taani
Eristin Argentiina
Erithromicina Tšiili
Erycinum Saksamaa
Erythrocin Ameerika ühendriigid, Austraalia, Austria, Iirimaa, Kanada, Saksamaa, Saudi Araabia, Suurbritannia, uus-Meremaa
Erythrocin lactobionat ADD Vantage Austraalia, Austria
Erythrocine Belgia, Holland, Luksemburg, Prantsusmaa, Tuneesia
Erythromycin Ameerika ühendriigid, Saksamaa, Saudi Araabia, Suurbritannia, Ungari
Erythromycine Luksemburg
Erythromycinum Poola
Pantomicina Hispaania, Tšiili
Manustamis viis   Manustamis viis :Erythromycin lactobionate     
Voie
intravenoosne infusioon
pidevinfusioon

  Mentions Légales