Poslední aktualizace :
27/04/2026
Antibiotikum   Erythromycin lactobionate  
injekce
Stabilita roztoků Stabilita směsí Faktory ovlivňující stabilitu Kompatibilita Způsoby aplikace Odkazy pdf
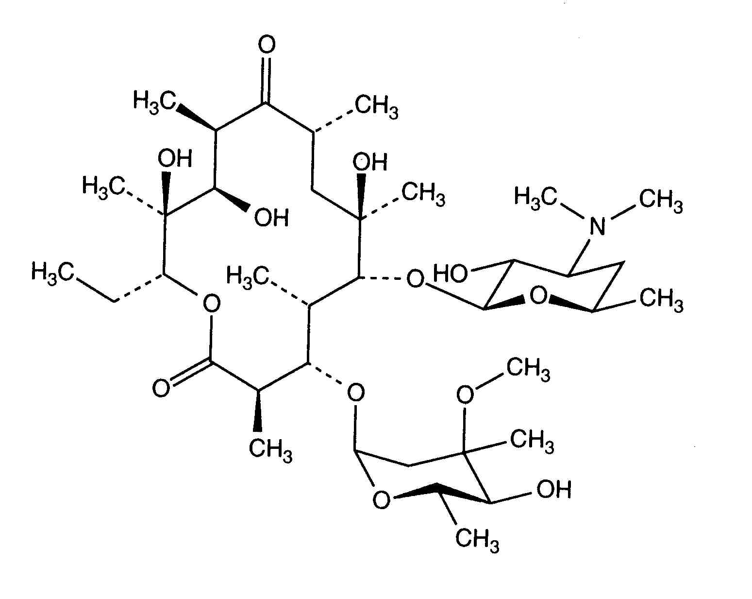
   Chemický vzorec  

Obchodní název   Obchodní název     

Trade names are indicative and excipients composition can be different depending on the country and manufacturers

Abboticin Dánsko, Finsko, Norsko, Švédsko
Eristin Argentina
Erithromicina Chile
Erycinum NÏmecko
Erythrocin Austrálie, Irsko, Kanada, NÏmecko, nový Zéland, Rakousko, Saúdská Arábie, USA, Velká Británie
Erythrocin lactobionat ADD Vantage Austrálie, Rakousko
Erythrocine Belgie, Francie, Lucembursko, Nizozemsko, Tunisko
Erythromycin MaÔarsko, NÏmecko, Saúdská Arábie, USA, Velká Británie
Erythromycine Lucembursko
Erythromycinum Polsko
Pantomicina äpanÏlsko, Chile
Způsoby aplikace   Způsoby aplikace :Erythromycin lactobionate     
Voie
Intravenózní infúze
Kontinuální infúze

  Mentions Légales