Última actualización :
27/04/2026
Antibiótico   Erythromycin lactobionate  
Inyectables
Estabilidad en solucion Estabilidad en mezcla Factores que influyen sobre la estabilidad Compatibilidades método de inyección Bibliografía pdf
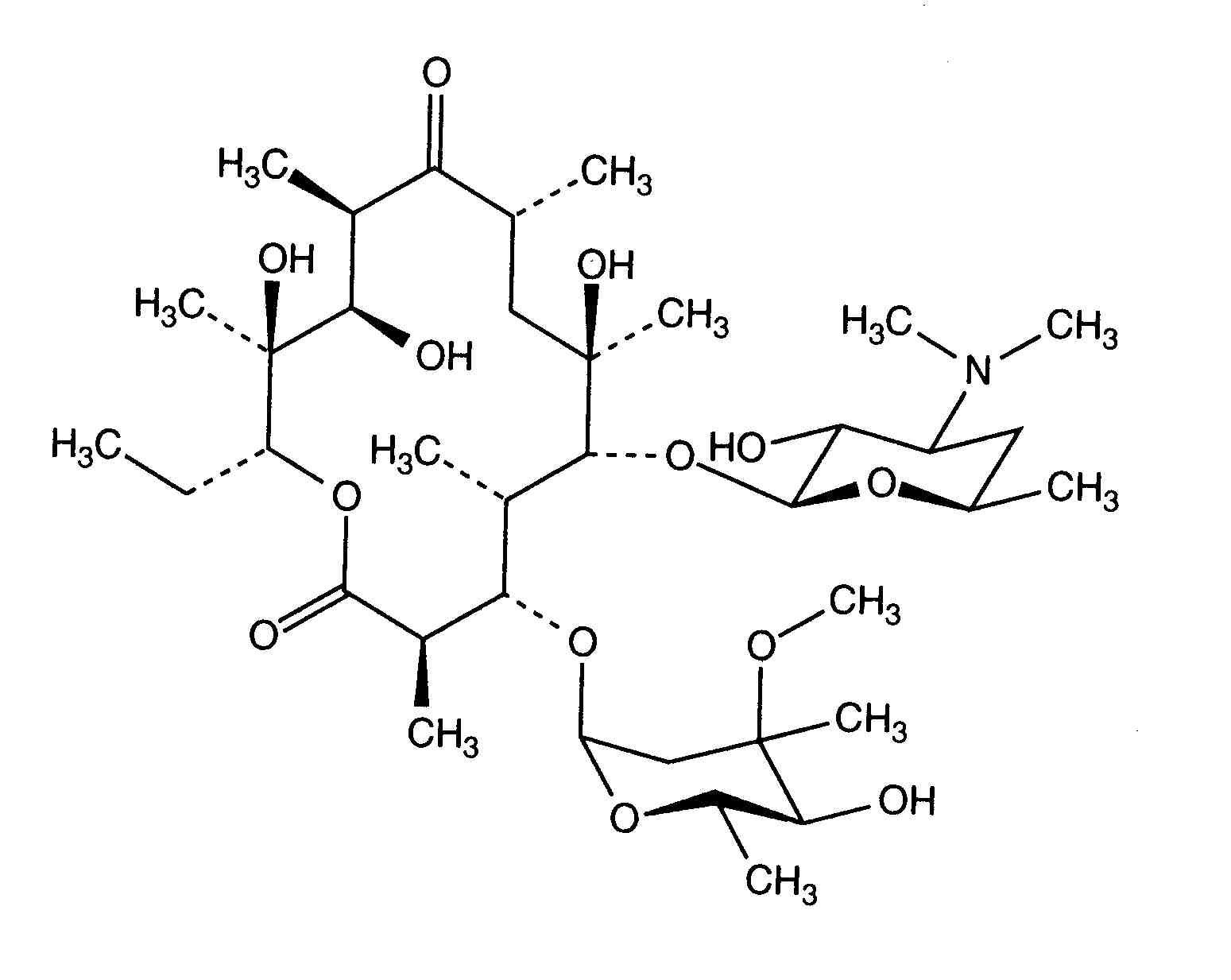
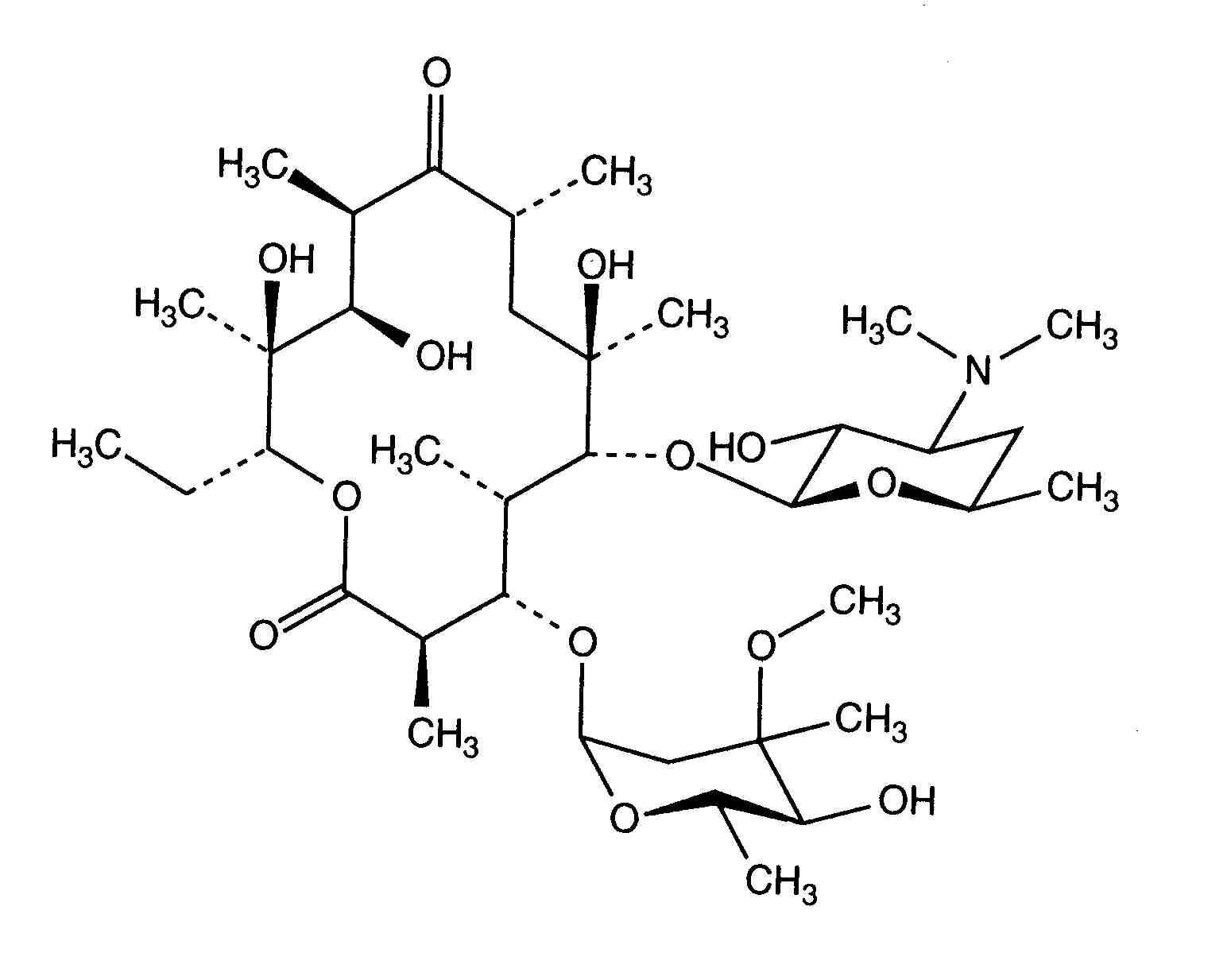
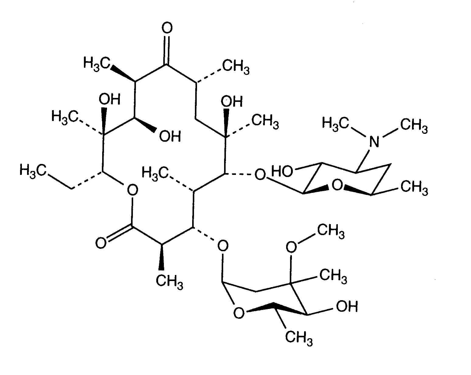
   Estructura química  

Nombre comercial   Nombre comercial     

Los nombres comerciales son orientativos y los excipientes de la formulación pueden ser distintos dependiendo del país y del laboratorio fabricante.

Abboticin Dinamarca, Finlandia, Noruega, Suecia
Eristin Argentina
Erithromicina Chile
Erycinum Alemania
Erythrocin Alemania, Arabia Saudita, Australia, Austria, Canadá, Estados Unidos de América, Gran Bretaña, Irlanda, Nueva Zelanda
Erythrocin lactobionat ADD Vantage Australia, Austria
Erythrocine Bélgica, Francia, Luxemburgo, Países Bajos, Túnez
Erythromycin Alemania, Arabia Saudita, Estados Unidos de América, Gran Bretaña, Hungría
Erythromycine Luxemburgo
Erythromycinum Polonia
Pantomicina Chile, España
método de inyección   método de inyección :Erythromycin lactobionate     
Voie
Perfusión intravenosa
Perfusión continua

  Mentions Légales