zadnja posodobitev :
27/04/2026
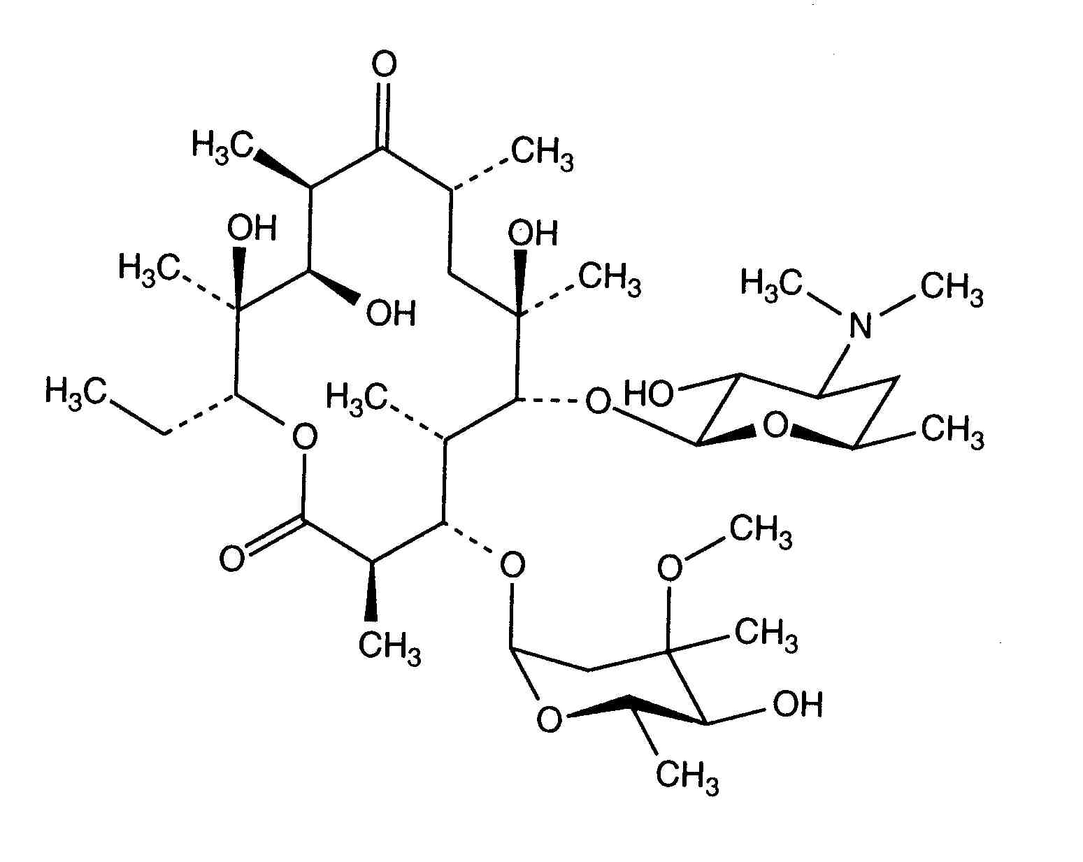
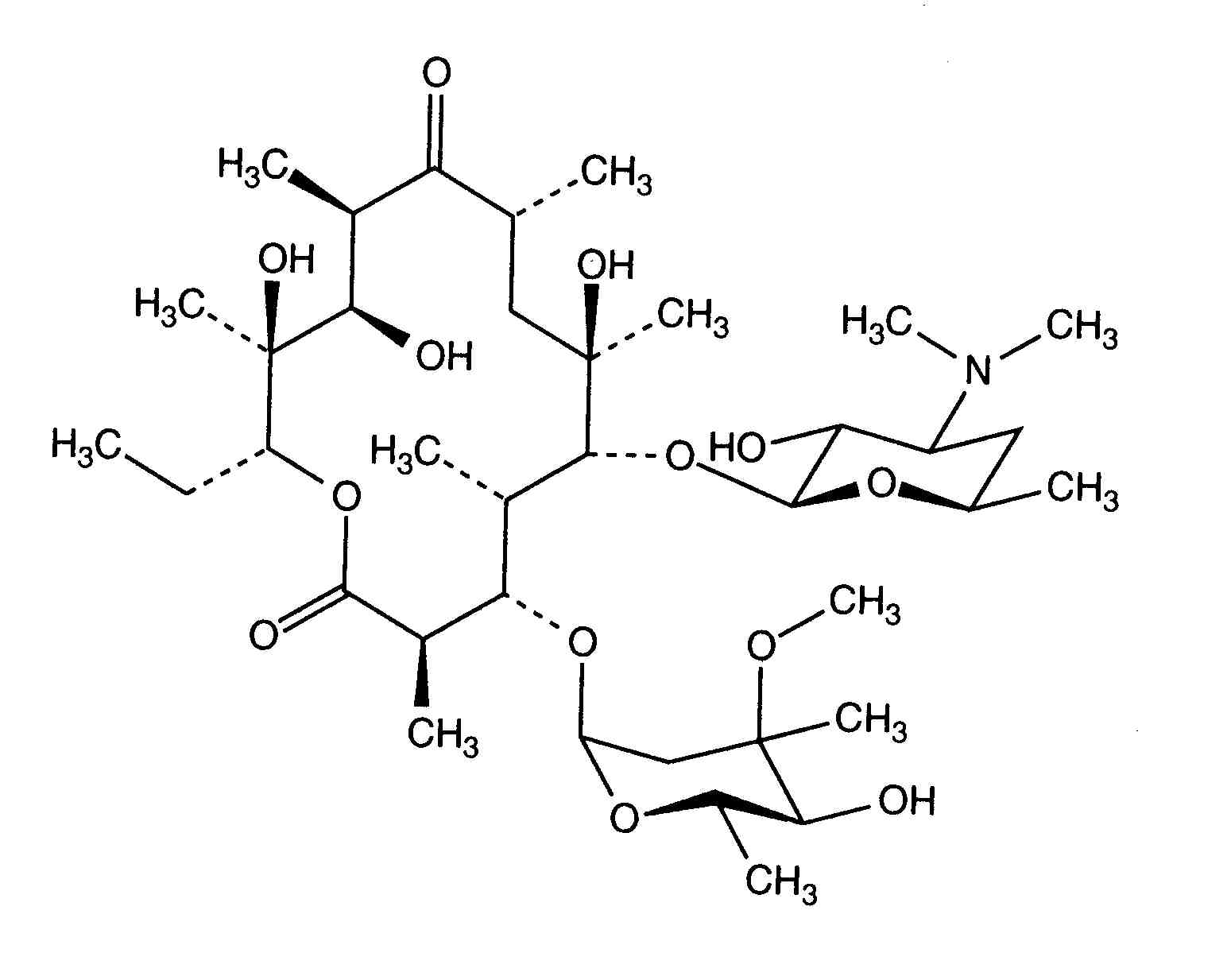
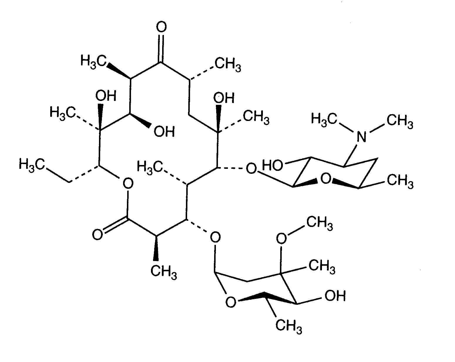
Antibiotik   Erythromycin lactobionate  
Brizgalka
Stabilnost raztopine Stabilnost mešanice Faktorji, ki vplivajo na stabilnost Kompatibilnost način aplikacije Viri pdf
   Kemična formula  

Lastniško ime   Lastniško ime     

Sestava pomožnih snovi je med paralelami lahko različna

Abboticin Danska, Finska, Norveška, Švedska
Eristin Argentina
Erithromicina Čile
Erycinum Nemčija
Erythrocin Avstralija, Avstrija, Irska, Kanada, Nemčija, nova Zelandija, Savdska Arabija, Velika Britanija, Združene države Amerike
Erythrocin lactobionat ADD Vantage Avstralija, Avstrija
Erythrocine Belgija, Francija, Luksemburg, Nizozemska, Tunizija
Erythromycin Madžarska, Nemčija, Savdska Arabija, Velika Britanija, Združene države Amerike
Erythromycine Luksemburg
Erythromycinum Poljska
Pantomicina Čile, Španija
način aplikacije   način aplikacije :Erythromycin lactobionate     
Voie
Intravenska infuzija
Neprekinjena infuzija

  Mentions Légales