Son güncelleme :
27/04/2026
Antibiyotik   Erythromycin lactobionate  
Enjeksiyon
Çözeltilerin stabilitesi Karışımlardaki stabilitesi Stabiliteyi etkileyen faktörler Uyumluluk Uygulama yöntemi Kaynaklar pdf
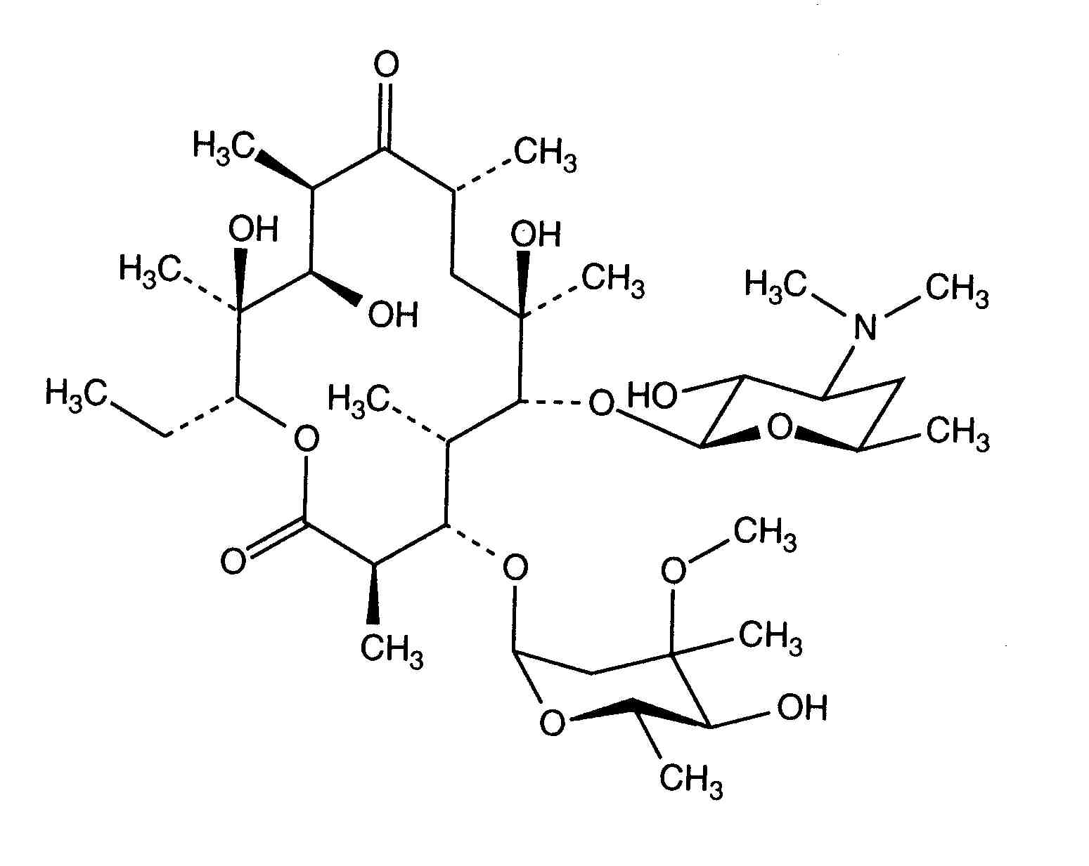
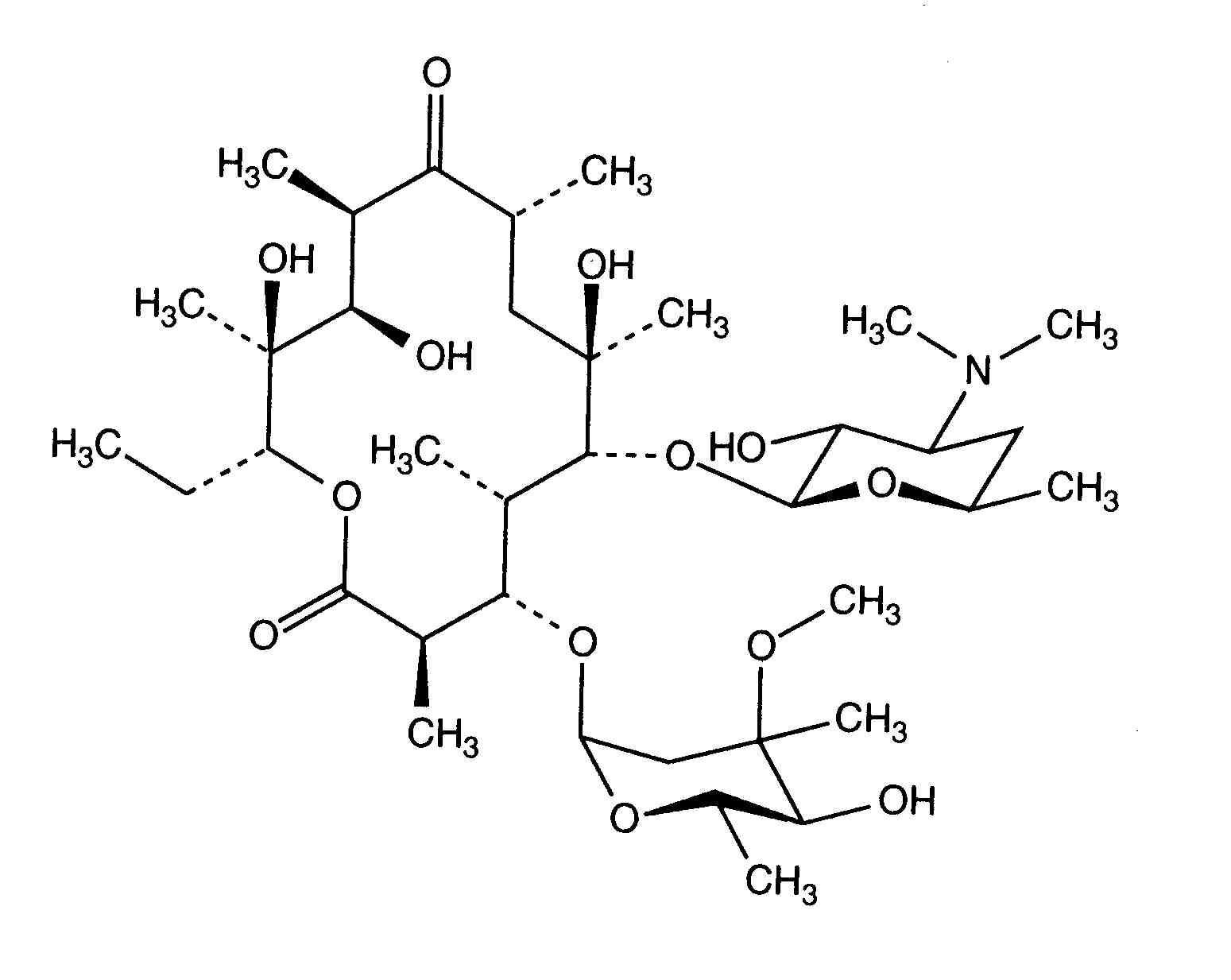
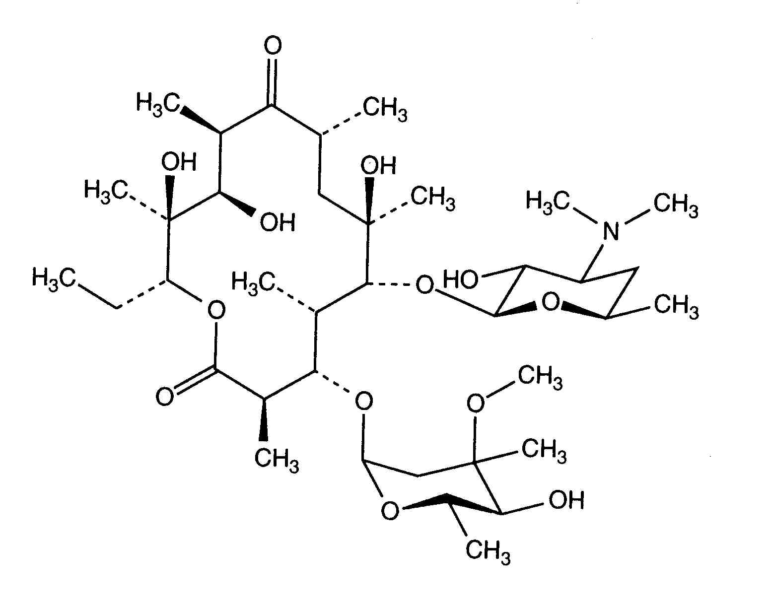
   Kimyasal yapı   

Ticari isim   Ticari isim     

Trade names are indicative and excipients composition can be different depending on the country and manufacturers

Abboticin Danimarka, Finlandiya, İsveç, Norveç
Eristin Arjantin
Erithromicina Şili
Erycinum Almanya
Erythrocin Almanya, Amerika Birleşik Devletleri, Avustralya, Avusturya, Büyük Britanya, İrlanda, Kanada, Suudi Arabistan, yeni Zelanda
Erythrocin lactobionat ADD Vantage Avustralya, Avusturya
Erythrocine Belçika, Fransa, Hollanda, Lüksemburg, Tunus
Erythromycin Almanya, Amerika Birleşik Devletleri, Büyük Britanya, Macaristan, Suudi Arabistan
Erythromycine Lüksemburg
Erythromycinum Polonya
Pantomicina İspanya, Şili

Stabiliteyi etkileyen faktörler    Enjeksiyon    Stabiliteyi etkileyen faktörler : Erythromycin lactobionate        
Kaynaklar
pH pH >10 İndükler Parçalanma 20
pH 7,5 < pH < 8 İndükler Stabilitede artış 1153
pH pH < 5,5 İndükler Parçalanma 20

  Mentions Légales