viimane versioon :
27/04/2026
antibiootikum   Erythromycin lactobionate  
Süsteravim
Stabiilsus lahustes Stabiilsust mõjutavad tegurid stabiilsust mõjutavad faktorid Sobimatus Manustamis viis Viited pdf
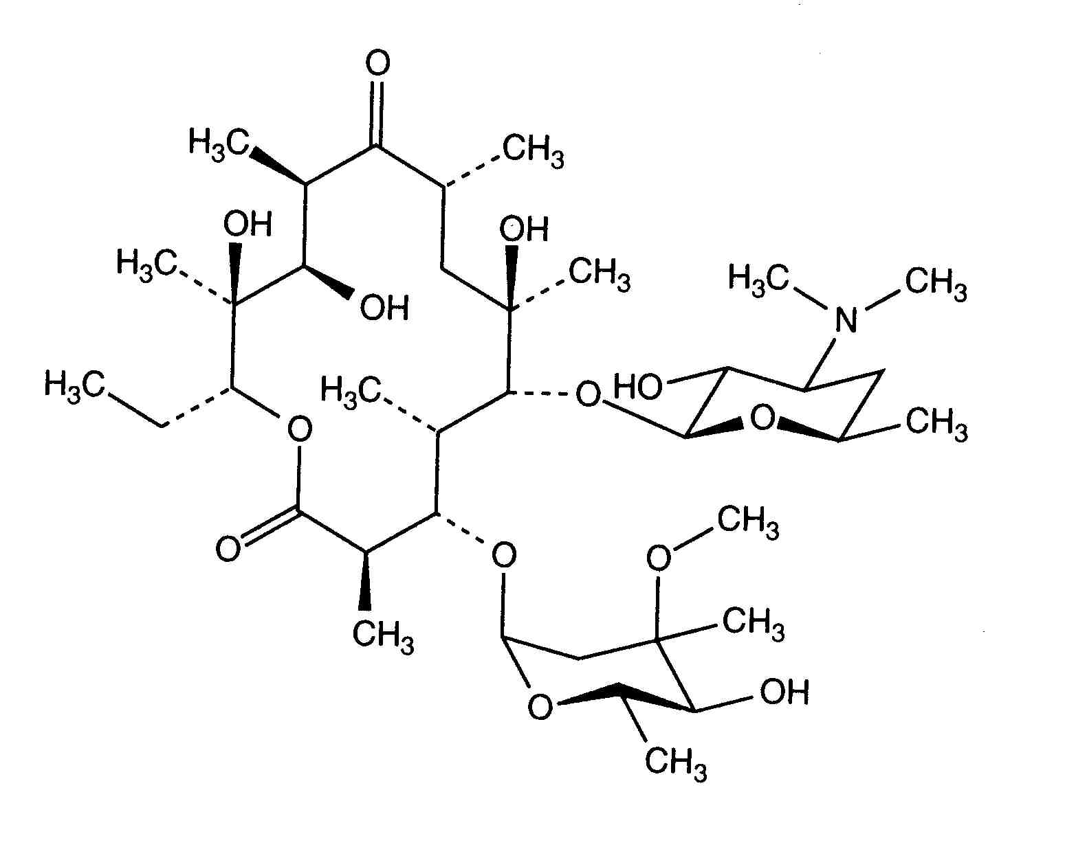
   keemiline struktuur  

Kaubanduslikud nimed erinevates maades   Kaubanduslikud nimed erinevates maades     

Preparaatide nimed on näitlikud ja abianete sisaldus võib erineda sõltuvalt riigist ja laborist

Abboticin Norra, Rootsi, Soome, Taani
Eristin Argentiina
Erithromicina Tšiili
Erycinum Saksamaa
Erythrocin Ameerika ühendriigid, Austraalia, Austria, Iirimaa, Kanada, Saksamaa, Saudi Araabia, Suurbritannia, uus-Meremaa
Erythrocin lactobionat ADD Vantage Austraalia, Austria
Erythrocine Belgia, Holland, Luksemburg, Prantsusmaa, Tuneesia
Erythromycin Ameerika ühendriigid, Saksamaa, Saudi Araabia, Suurbritannia, Ungari
Erythromycine Luksemburg
Erythromycinum Poola
Pantomicina Hispaania, Tšiili

stabiilsust mõjutavad faktorid   Süsteravim   stabiilsust mõjutavad faktorid : Erythromycin lactobionate        
Viited
pH pH >10 indutseerib degradatsioon 20
pH 7,5 < pH < 8 indutseerib stabiilsuse suurenemine 1153
pH pH < 5,5 indutseerib degradatsioon 20

  Mentions Légales