Ostatnia aktualizacja :
27/04/2026
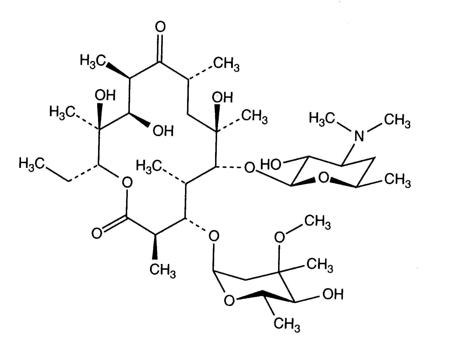
Antybiotyk   Erythromycin lactobionate  
Injekcje
Trwałość roztworów Trwałość w mieszaninie Czynnik wpływający na trwałość Zgodność Sposób podania Bibliografia pdf
   Struktura chemiczna  

Nazwa handlowa   Nazwa handlowa     

Trade names are indicative and excipients composition can be different depending on the country and manufacturers

Abboticin Dania, Finlandia, Norwegia, Szwecja
Eristin Argentyna
Erithromicina Chile
Erycinum Niemcy
Erythrocin Arabia Saudyjska, Australia, Austria, Irlandia, Kanada, Niemcy, nowa Zelandia, Stany Zjednoczone Ameryki, Wielka Brytania
Erythrocin lactobionat ADD Vantage Australia, Austria
Erythrocine Belgia, Francja , Holandia, Luksemburg, Tunisie
Erythromycin Arabia Saudyjska, Niemcy, Stany Zjednoczone Ameryki, Węgry, Wielka Brytania
Erythromycine Luksemburg
Erythromycinum Polska
Pantomicina Chile, Hiszpania

Czynnik wpływający na trwałość   Injekcje   Czynnik wpływający na trwałość : Erythromycin lactobionate        
Bibliografia
pH pH >10 Wywołuje Degradacja 20
pH 7,5 < pH < 8 Wywołuje Wzmożona stabilność 1153
pH pH < 5,5 Wywołuje Degradacja 20

  Mentions Légales